Вопрос по алгебре:
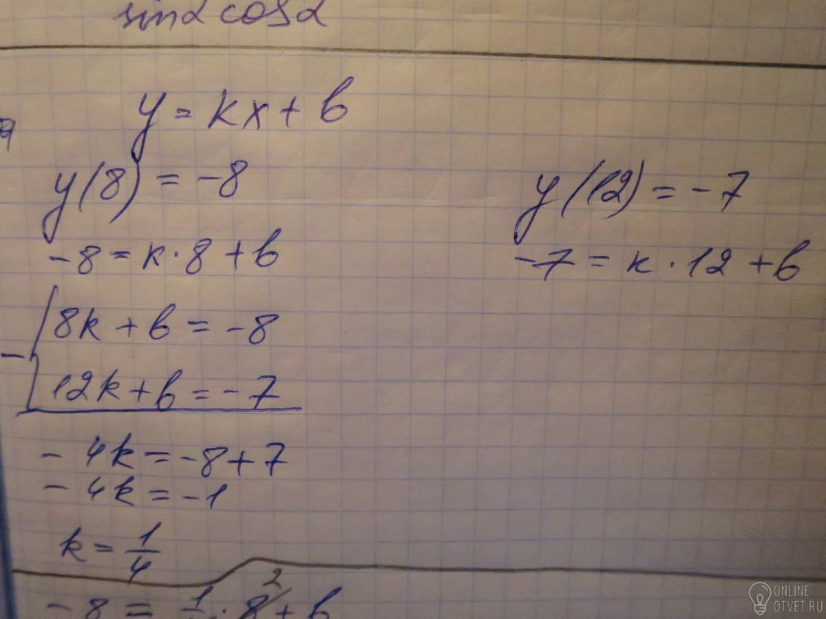
Линейная функция задана формулой y= kx+b найдите k, если у(8)=-8 и у(12)=-7
Пожаловаться
- 03.08.2018 09:23
- Алгебра
- remove_red_eye 6306
- thumb_up 37
Ответы и объяснения 1
Знаете ответ? Поделитесь им!
Есть сомнения?
Не нашли подходящего ответа на вопрос или ответ отсутствует? Воспользуйтесь поиском по сайту, чтобы найти все ответы на похожие вопросы в разделе Алгебра.
Трудности с домашними заданиями? Не стесняйтесь попросить о помощи - смело задавайте вопросы!
Алгебра — раздел математики, который можно нестрого охарактеризовать как обобщение и расширение арифметики.
Новые вопросы
Интересные вопросы