Вопрос по алгебре:
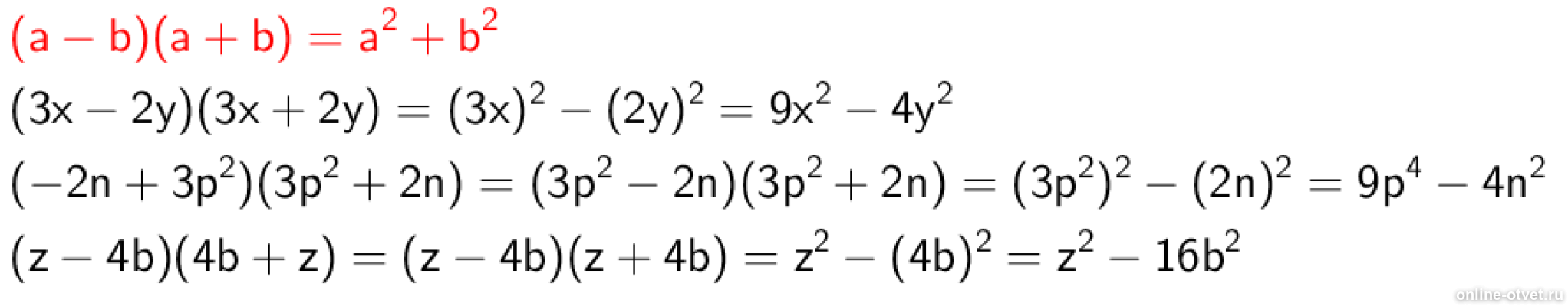
Выполните умножение:1)(3x-2y) (3x+2y)
2)(-2n+3p²) (3p²+2n)
3)(z-4b) (4b+z)
Пожаловаться
- 09.04.2018 03:08
- Алгебра
- remove_red_eye 13754
- thumb_up 30
Ответы и объяснения 1
Знаете ответ? Поделитесь им!
Есть сомнения?
Не нашли подходящего ответа на вопрос или ответ отсутствует? Воспользуйтесь поиском по сайту, чтобы найти все ответы на похожие вопросы в разделе Алгебра.
Трудности с домашними заданиями? Не стесняйтесь попросить о помощи - смело задавайте вопросы!
Алгебра — раздел математики, который можно нестрого охарактеризовать как обобщение и расширение арифметики.
Новые вопросы
Интересные вопросы