Пожаловаться
- 03.01.2018 20:26
- Алгебра
- remove_red_eye 8827
- thumb_up 34
Ответы и объяснения 1
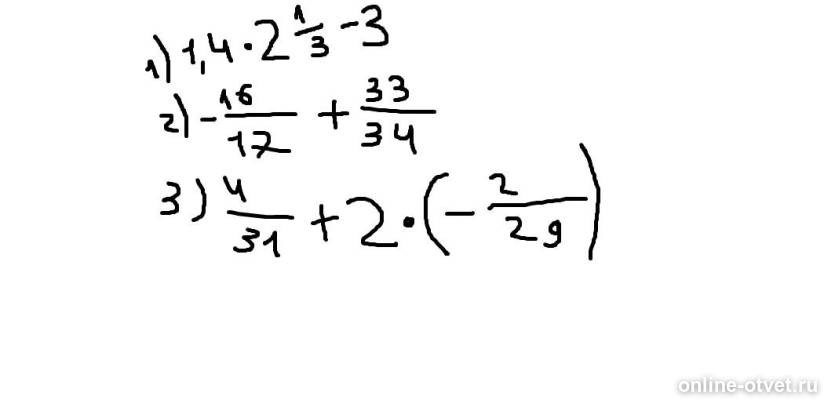
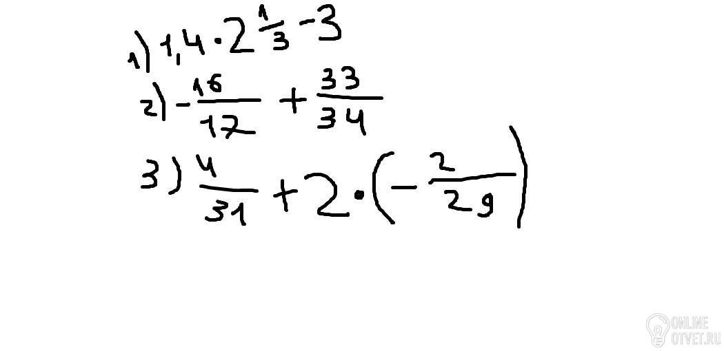
Первое: (49/14)- 3= (49/15)- (45/15)= 4/15
Второе: -(32/34)+ (33/34)= 1/34
Третье: (4/31)-(4/29)
Пожаловаться
- 04.01.2018 05:34
- thumb_up 7
Знаете ответ? Поделитесь им!
Есть сомнения?
Не нашли подходящего ответа на вопрос или ответ отсутствует? Воспользуйтесь поиском по сайту, чтобы найти все ответы на похожие вопросы в разделе Алгебра.
Трудности с домашними заданиями? Не стесняйтесь попросить о помощи - смело задавайте вопросы!
Алгебра — раздел математики, который можно нестрого охарактеризовать как обобщение и расширение арифметики.
Новые вопросы
Интересные вопросы