- 03.08.2018 09:25
- Алгебра
- remove_red_eye 12355
- thumb_up 11
Ответы и объяснения 1
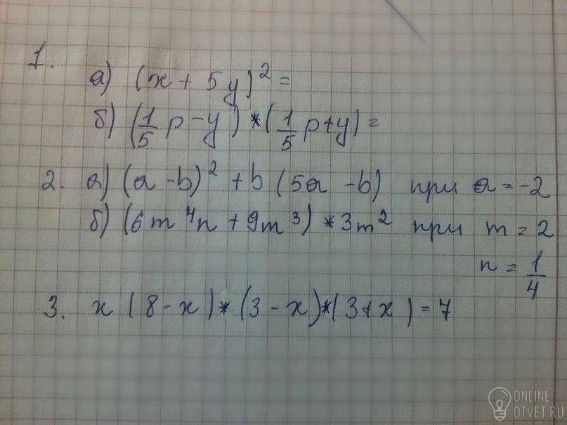
1.
а) =х(в квадрате)+10ху+25у(у в квадрате)
б) = (1/5р)(вся скобка в квадрате)-у(в квадрате)
2.
а)=а(в квадрате)-2аb+b(в квадрате)+5аb-b(в квадрате)=а(в квадрате)-2ab+5ab=a(в квадрате)+3ab...
- 04.08.2018 15:08
- thumb_up 19
Знаете ответ? Поделитесь им!
Есть сомнения?
Не нашли подходящего ответа на вопрос или ответ отсутствует? Воспользуйтесь поиском по сайту, чтобы найти все ответы на похожие вопросы в разделе Алгебра.
Трудности с домашними заданиями? Не стесняйтесь попросить о помощи - смело задавайте вопросы!
Алгебра — раздел математики, который можно нестрого охарактеризовать как обобщение и расширение арифметики.