- 14.05.2018 23:41
- Алгебра
- remove_red_eye 8258
- thumb_up 39
Ответы и объяснения 1
1)Сокращаем буквы и числа=5х*2\3у
\-дробь
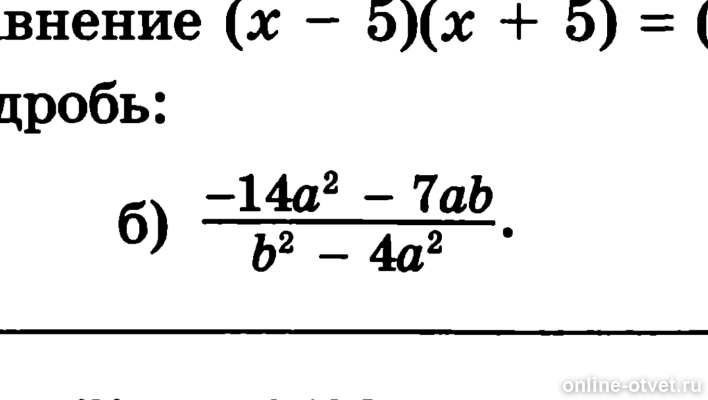
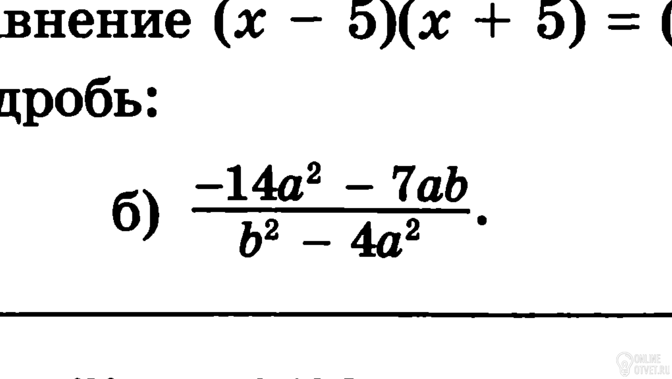
2)Выносим за скобку общий множитель
Вверху:-7а(2а+б)
Внизу:
Разложим по формуле:
(б-2а)(б+2а)
Сократим (б+2а)
=-7а\б-2а
- 15.05.2018 23:33
- thumb_up 3
Знаете ответ? Поделитесь им!
Есть сомнения?
Не нашли подходящего ответа на вопрос или ответ отсутствует? Воспользуйтесь поиском по сайту, чтобы найти все ответы на похожие вопросы в разделе Алгебра.
Трудности с домашними заданиями? Не стесняйтесь попросить о помощи - смело задавайте вопросы!
Алгебра — раздел математики, который можно нестрого охарактеризовать как обобщение и расширение арифметики.