Вопрос по алгебре:
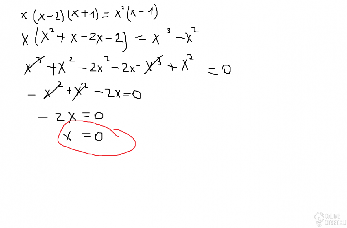
Формулы сокращенного умножения. Решите уравнение: x(x-2)(x+1)=x^2(x-1)
Пожаловаться
- 27.07.2018 01:26
- Алгебра
- remove_red_eye 7229
- thumb_up 29
Ответы и объяснения 1
Знаете ответ? Поделитесь им!
Есть сомнения?
Не нашли подходящего ответа на вопрос или ответ отсутствует? Воспользуйтесь поиском по сайту, чтобы найти все ответы на похожие вопросы в разделе Алгебра.
Трудности с домашними заданиями? Не стесняйтесь попросить о помощи - смело задавайте вопросы!
Алгебра — раздел математики, который можно нестрого охарактеризовать как обобщение и расширение арифметики.
Новые вопросы
Интересные вопросы