- 09.09.2018 21:36
- Алгебра
- remove_red_eye 16603
- thumb_up 89
Ответы и объяснения 1
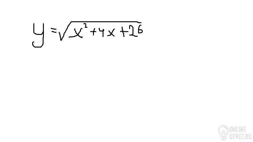
производна= 1\2(х^+4x+26) в степени 1\2-1 * (x^+4x+26)= 1\2(x^+4x+26) в степени -1\2 * (2х+4)
2х+4\ 2* (х^+4x+26)^=0
2х+4=0
2х=-4
х=-2
у(-2)= (4-8+13)^= 9^=3
Ответ 3
- 11.09.2018 00:05
- thumb_up 9
Знаете ответ? Поделитесь им!
Есть сомнения?
Не нашли подходящего ответа на вопрос или ответ отсутствует? Воспользуйтесь поиском по сайту, чтобы найти все ответы на похожие вопросы в разделе Алгебра.
Трудности с домашними заданиями? Не стесняйтесь попросить о помощи - смело задавайте вопросы!
Алгебра — раздел математики, который можно нестрого охарактеризовать как обобщение и расширение арифметики.