- 16.06.2024 16:44
- Математика
- remove_red_eye 848
- thumb_up 87
Ответы и объяснения 1
Ответ:
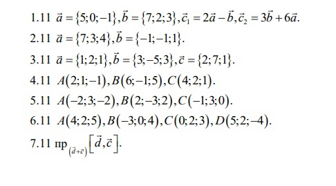
1)
c1=2a-b
a ={ax;ay;az}={5;0;−1}, λ=2;
λ⋅a ={λ⋅ax;λ⋅ay;λ⋅az}={2⋅5;2⋅0;2⋅(−1)}={10;0;−2}
2a-b= {ax - bx ; ay - by ; az - bz} = {10 - 7 ; 0 - 2 ; (-2) - 3} = {3 ; -2 ; -5}
c2=3b+6a=
3·a + 6·b = {3·ax + 6·bx ; 3·ay + 6·by ; 3·az + 6·bz} = {3·7 + 6·5 ; 3·2 + 6·0 ; 3·3 + 6·(-1)} = {21 + 30 ; 6 + 0 ; 9 - 6} = {51 ; 6 ; 3}
2)
- 22.06.2024 09:55
- thumb_up 0
Знаете ответ? Поделитесь им!
Есть сомнения?
Не нашли подходящего ответа на вопрос или ответ отсутствует? Воспользуйтесь поиском по сайту, чтобы найти все ответы на похожие вопросы в разделе Математика.
Трудности с домашними заданиями? Не стесняйтесь попросить о помощи - смело задавайте вопросы!
Математика — наука о структурах, порядке и отношениях, исторически сложившаяся на основе операций подсчёта, измерения и описания формы объектов.
