Пожаловаться
- 12.09.2018 19:09
- Математика
- remove_red_eye 11417
- thumb_up 22
Ответы и объяснения 1
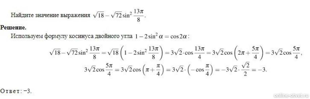
72=18*4 ⇒ √72=√(4*18)=2√18
Просто вынесен общий множитель, а заодно и изъят корень из 4.
18=9*2
√18=3√2
В остальном, решение не должно вызывать вопросов.
Просто вынесен общий множитель, а заодно и изъят корень из 4.
18=9*2
√18=3√2
В остальном, решение не должно вызывать вопросов.
Пожаловаться
- 13.09.2018 18:20
- thumb_up 47
Знаете ответ? Поделитесь им!
Есть сомнения?
Не нашли подходящего ответа на вопрос или ответ отсутствует? Воспользуйтесь поиском по сайту, чтобы найти все ответы на похожие вопросы в разделе Математика.
Трудности с домашними заданиями? Не стесняйтесь попросить о помощи - смело задавайте вопросы!
Математика — наука о структурах, порядке и отношениях, исторически сложившаяся на основе операций подсчёта, измерения и описания формы объектов.
Новые вопросы
Интересные вопросы