Вопрос по математике:
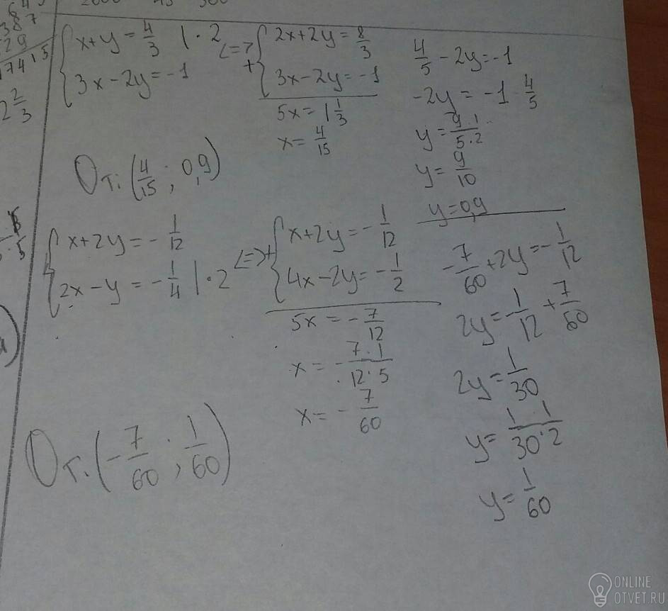
1.Система
х+у=4/3 (дробь)
3х-2у= -1
2.Система
х+2у= -1/12 (дробь)
2х-у= -1/4 (дробь)
- 11.08.2018 16:01
- Математика
- remove_red_eye 16640
- thumb_up 8
Ответы и объяснения 1
Знаете ответ? Поделитесь им!
Есть сомнения?
Не нашли подходящего ответа на вопрос или ответ отсутствует? Воспользуйтесь поиском по сайту, чтобы найти все ответы на похожие вопросы в разделе Математика.
Трудности с домашними заданиями? Не стесняйтесь попросить о помощи - смело задавайте вопросы!
Математика — наука о структурах, порядке и отношениях, исторически сложившаяся на основе операций подсчёта, измерения и описания формы объектов.