Вопрос по математике:
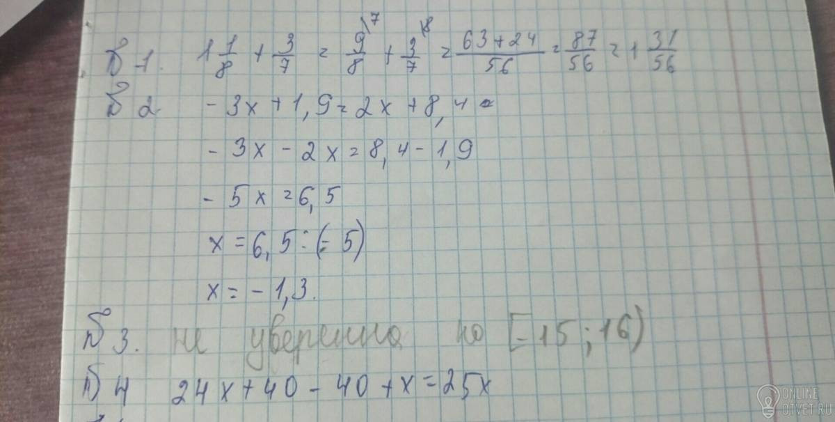
№1 Вычислите.
1 целая 1/8 + 3/7
№2 Решите уравнение.
-3х + 1,9 = 2х + 8,4
№3 Сколько целых решений имеет неравенство?
-16 < x < 17
№4 Раскрыть скобки, привести подобные.
8(3х + 5) - (40 - х) =
№5 Масса двух контейнеров 75 кг, причём масса одного из них на 5 кг меньше массы второго. Определите массу каждого контейнера.
№6 Найти неизвестный член пропорции.
7,2/1,8 = х/3,2
№7 Теплоход прошёл расстояние между пристанями со скоростью 40 (км.ч) за 4,5 ч. С какой скоростью должен илти теплоход, чтобы пройти это расстояние за 3,6 часов?
№8 Девочка прочитала 36 страниц, что составило 75% всей книги. Сколько страниц в книге?
Помогите мне СРОЧНО! Пожалуйста!
- 27.09.2018 16:44
- Математика
- remove_red_eye 16719
- thumb_up 27
Ответы и объяснения 1
Знаете ответ? Поделитесь им!
Есть сомнения?
Не нашли подходящего ответа на вопрос или ответ отсутствует? Воспользуйтесь поиском по сайту, чтобы найти все ответы на похожие вопросы в разделе Математика.
Трудности с домашними заданиями? Не стесняйтесь попросить о помощи - смело задавайте вопросы!
Математика — наука о структурах, порядке и отношениях, исторически сложившаяся на основе операций подсчёта, измерения и описания формы объектов.