Вопрос по математике:
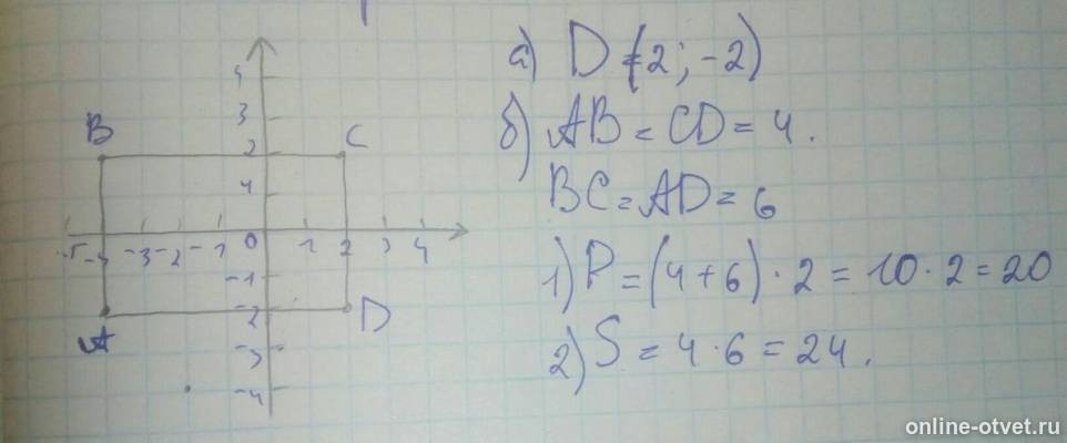
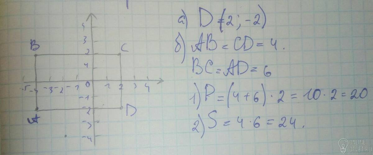
Три вершины прямоугольника есть А( -4; -2), В( -4; 2) и С( 2;2). Найдите координаты четвертной вершины. Вычислите площадь и периметр прямоугольника пожалуйста!!!
- 07.07.2018 18:59
- Математика
- remove_red_eye 14519
- thumb_up 15
Ответы и объяснения 1
Знаете ответ? Поделитесь им!
Есть сомнения?
Не нашли подходящего ответа на вопрос или ответ отсутствует? Воспользуйтесь поиском по сайту, чтобы найти все ответы на похожие вопросы в разделе Математика.
Трудности с домашними заданиями? Не стесняйтесь попросить о помощи - смело задавайте вопросы!
Математика — наука о структурах, порядке и отношениях, исторически сложившаяся на основе операций подсчёта, измерения и описания формы объектов.