Вопрос по математике:
В определённый день школа направила своих учащихся на олимпиады по
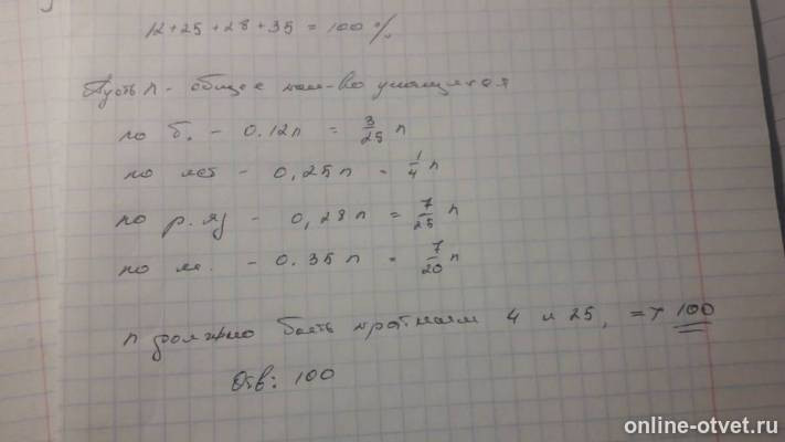
четырём предметам. Из них 12% участвовали в олимпиаде по биологии, 25% — по
истории, 28% — по русской литературе и 35% — по математике. Какое наименьшее
количество учащихся могла направить школа в этот день на олимпиады?
Напишите решение пж!!!!!!!!!!!!!!!!!!!!!!!!!!!!!!!!!!!!
- 27.07.2018 00:53
- Математика
- remove_red_eye 10956
- thumb_up 49
Ответы и объяснения 1
Знаете ответ? Поделитесь им!
Есть сомнения?
Не нашли подходящего ответа на вопрос или ответ отсутствует? Воспользуйтесь поиском по сайту, чтобы найти все ответы на похожие вопросы в разделе Математика.
Трудности с домашними заданиями? Не стесняйтесь попросить о помощи - смело задавайте вопросы!
Математика — наука о структурах, порядке и отношениях, исторически сложившаяся на основе операций подсчёта, измерения и описания формы объектов.