Пожаловаться
- 25.08.2018 18:35
- Математика
- remove_red_eye 1364
- thumb_up 47
Ответы и объяснения 1
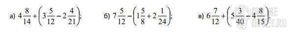
А) 1. 3 10/21 - 2 4/21= 1 6/21= 1 2/7
2.4 8/14 + 1 4/14= 5 12/14= 5 6/7
Ответ:5 6/7
б) 1. 1 1/24+1 3/24= 2 4/24=2 1/6
2. 7 5/12 - 2 2/12= 5 3/12= 5 1/4
Ответ:5 1/4
в) 1. 5 9/120- 4 64/120= 65/120=13/24
2. 6 14/24+ 13/24=7 3/24= 7 1/8
Ответ:7 1/8
2.4 8/14 + 1 4/14= 5 12/14= 5 6/7
Ответ:5 6/7
б) 1. 1 1/24+1 3/24= 2 4/24=2 1/6
2. 7 5/12 - 2 2/12= 5 3/12= 5 1/4
Ответ:5 1/4
в) 1. 5 9/120- 4 64/120= 65/120=13/24
2. 6 14/24+ 13/24=7 3/24= 7 1/8
Ответ:7 1/8
Пожаловаться
- 26.08.2018 23:21
- thumb_up 13
Знаете ответ? Поделитесь им!
Есть сомнения?
Не нашли подходящего ответа на вопрос или ответ отсутствует? Воспользуйтесь поиском по сайту, чтобы найти все ответы на похожие вопросы в разделе Математика.
Трудности с домашними заданиями? Не стесняйтесь попросить о помощи - смело задавайте вопросы!
Математика — наука о структурах, порядке и отношениях, исторически сложившаяся на основе операций подсчёта, измерения и описания формы объектов.
Новые вопросы
Интересные вопросы