Пожаловаться
- 25.09.2018 05:28
- Математика
- remove_red_eye 16663
- thumb_up 21
Ответы и объяснения 1
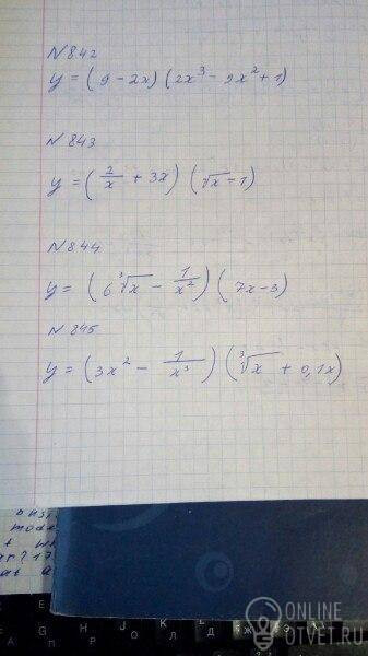
ПРАВИЛО
Y'(uv)=u'*v +u*v'
843
y = (9-2x)*(2x³-9x+1)
y' = -2x*(2x³-9x+1) + (9-2x)*(6x²-9x) =
= -4x⁴+ 18x² - 2x + 54*x² - 81x + 12x³ + 18x² =
= -4x⁴+12x³+90x²-83x
Y'(uv)=u'*v +u*v'
843
y = (9-2x)*(2x³-9x+1)
y' = -2x*(2x³-9x+1) + (9-2x)*(6x²-9x) =
= -4x⁴+ 18x² - 2x + 54*x² - 81x + 12x³ + 18x² =
= -4x⁴+12x³+90x²-83x
Пожаловаться
- 26.09.2018 01:19
- thumb_up 44
Знаете ответ? Поделитесь им!
Есть сомнения?
Не нашли подходящего ответа на вопрос или ответ отсутствует? Воспользуйтесь поиском по сайту, чтобы найти все ответы на похожие вопросы в разделе Математика.
Трудности с домашними заданиями? Не стесняйтесь попросить о помощи - смело задавайте вопросы!
Математика — наука о структурах, порядке и отношениях, исторически сложившаяся на основе операций подсчёта, измерения и описания формы объектов.
Новые вопросы
Интересные вопросы