Вопрос по математике:
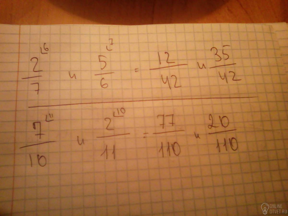
Приведите дроби к наименьшему общему знаменателю 2/7 и 5/6 7/10 и 2/11
- 24.08.2018 07:21
- Математика
- remove_red_eye 8830
- thumb_up 22
Ответы и объяснения 1
Знаете ответ? Поделитесь им!
Есть сомнения?
Не нашли подходящего ответа на вопрос или ответ отсутствует? Воспользуйтесь поиском по сайту, чтобы найти все ответы на похожие вопросы в разделе Математика.
Трудности с домашними заданиями? Не стесняйтесь попросить о помощи - смело задавайте вопросы!
Математика — наука о структурах, порядке и отношениях, исторически сложившаяся на основе операций подсчёта, измерения и описания формы объектов.