Вопрос по математике:
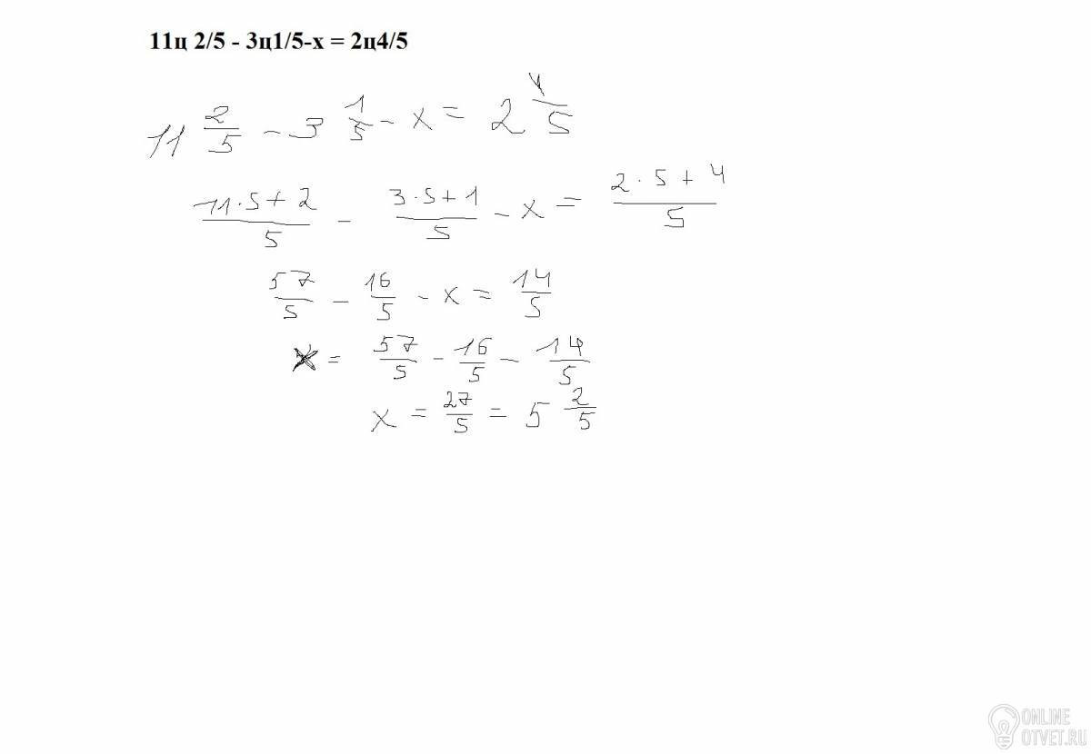
Решите уравнение, представив смешанные числа в виде неправильных дробей: 11ц 2/5 - 3ц1/5-х = 2ц4/5
- 24.08.2018 22:17
- Математика
- remove_red_eye 10405
- thumb_up 15
Ответы и объяснения 1
Знаете ответ? Поделитесь им!
Есть сомнения?
Не нашли подходящего ответа на вопрос или ответ отсутствует? Воспользуйтесь поиском по сайту, чтобы найти все ответы на похожие вопросы в разделе Математика.
Трудности с домашними заданиями? Не стесняйтесь попросить о помощи - смело задавайте вопросы!
Математика — наука о структурах, порядке и отношениях, исторически сложившаяся на основе операций подсчёта, измерения и описания формы объектов.