Вопрос по математике:
Промежуточная аттестация по общей математике (8 класс)
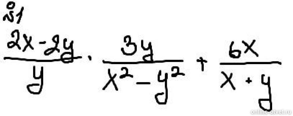
1.Выполнить действие:
(см. картинку ниже)
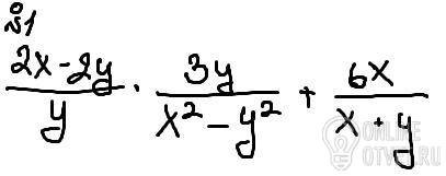
2. Чему равно значение выражения:
(см. картинку ниже)
3. Решите уравнение:
x^2+18=10-6x
5. В равнобедренном треугольнике боковая сторона = 24см. Найдите площадь треугольника.
6.Точка О - центр окружности. Угол ВОС = 160 градусов. Найдите величину угла ВАС.
(см. картинку ниже)
7. Решите неравенство:
5(2-х)-(х+3)≤4(х-6)
8. Пешеход прошел по шоссе 5 км, с постоянной скоростью, и 6 км по лесу, со скоростью на 3 км/ч меньше, чем по шоссе. Найти скорость пешехода при ходьбе по лесу, если он затратил на весь путь 4 часа.
9.Боковая сторона трапеции 4 см, а один из прилегающих к ней углов равен 30 градусов. Найдите площадь трапеции, если её основания равны 2 см и 8 см.
Очень надеюсь на помощь :с
- 01.09.2018 12:41
- Математика
- remove_red_eye 10369
- thumb_up 14
Ответы и объяснения 1
2) 3/14* корень из 196= 3/14*14=3
3) x^2+18-10+6x=0
x^2+6x+8=0
D=36-32=4
x=(-6+-2)/2= x1=-2
x2=-4
6) угол boc - центральный, поэтому и дуга boc будет равна 160*
а угол bac-вписанный, а вписанные углы равны половине дуги, на которую опираются, следовательно, угол bac = 80*
7) 10-5x-x-3≤4x-24
10-3+24≤4x+6x
31≤10x
3,1≤x
8) x+3 - скорость по шоссе x- скорость по лесу
t=S/v
5/(x+3)+6/x=4ч
под общий знаменатель
5x+6x+18-4x^2-12x/ x(x+3) = 0
5x+6x+18-4x^2-12x= 0
18-4x^2-x=0
-4x^2-x+18=0
4x^2+x-18=0
D=1+4*4*18=289=17^2
ответ должен быть положительным, так как это скорость
x= (-1+-17)/8= 2км/ч
9) фотка
- 02.09.2018 08:49
- thumb_up 6
Знаете ответ? Поделитесь им!
Есть сомнения?
Не нашли подходящего ответа на вопрос или ответ отсутствует? Воспользуйтесь поиском по сайту, чтобы найти все ответы на похожие вопросы в разделе Математика.
Трудности с домашними заданиями? Не стесняйтесь попросить о помощи - смело задавайте вопросы!
Математика — наука о структурах, порядке и отношениях, исторически сложившаяся на основе операций подсчёта, измерения и описания формы объектов.