- 08.03.2018 04:04
- Математика
- remove_red_eye 9832
- thumb_up 14
Ответы и объяснения 1
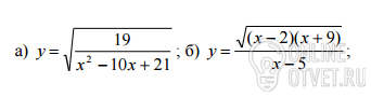
Выражение а).
Чтобы найти область определения функции, сначала выпишем ОДЗ:
С помощью метода интервалов вычислим, при каких значениях выражение
больше нуля:
Это и есть область определения функции:
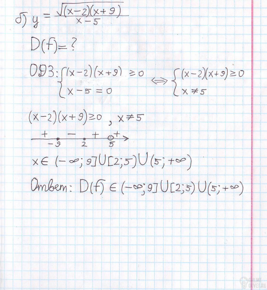
Решение второго выражения — см. во вложении. Метод решения тот же. Будьте внимательны с записью ответа: квадратные и круглые скобки — не одно и то же.
- 09.03.2018 12:36
- thumb_up 33
Знаете ответ? Поделитесь им!
Есть сомнения?
Не нашли подходящего ответа на вопрос или ответ отсутствует? Воспользуйтесь поиском по сайту, чтобы найти все ответы на похожие вопросы в разделе Математика.
Трудности с домашними заданиями? Не стесняйтесь попросить о помощи - смело задавайте вопросы!
Математика — наука о структурах, порядке и отношениях, исторически сложившаяся на основе операций подсчёта, измерения и описания формы объектов.