Вопрос по математике:
50 БАЛЛОВ!!!...
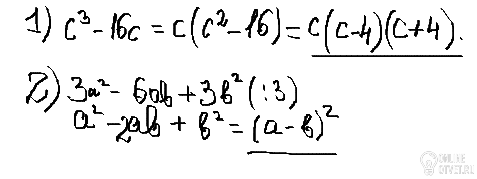
а)с³-16с=
б)3а²-6ав+3в²=
ТОЛЬКО РЕШИТЕ,ПРАВИЛЬНО УМОЛЯЮ!!! НА ЗАВТРА!!!
- 17.09.2018 20:49
- Математика
- remove_red_eye 12703
- thumb_up 48
Ответы и объяснения 1
Знаете ответ? Поделитесь им!
Есть сомнения?
Не нашли подходящего ответа на вопрос или ответ отсутствует? Воспользуйтесь поиском по сайту, чтобы найти все ответы на похожие вопросы в разделе Математика.
Трудности с домашними заданиями? Не стесняйтесь попросить о помощи - смело задавайте вопросы!
Математика — наука о структурах, порядке и отношениях, исторически сложившаяся на основе операций подсчёта, измерения и описания формы объектов.