- 17.07.2018 22:27
- Математика
- remove_red_eye 20031
- thumb_up 21
Ответы и объяснения 1
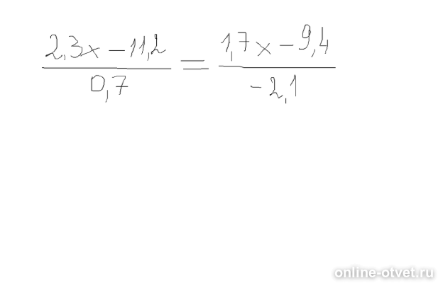
2,3x-11,2/0,7=1,7x-9,4/-2,1
Умножаем уравнение крест накрест
в результате :
0,7(1,7x-9,4)=-2,1(2,3x-11,2)
1,19x-6,58=-4.83x+23,52
1,19x+4,83x=23,52+6,58
6,02x=30.1
x=5
- 18.07.2018 18:55
- thumb_up 16
Знаете ответ? Поделитесь им!
Есть сомнения?
Не нашли подходящего ответа на вопрос или ответ отсутствует? Воспользуйтесь поиском по сайту, чтобы найти все ответы на похожие вопросы в разделе Математика.
Трудности с домашними заданиями? Не стесняйтесь попросить о помощи - смело задавайте вопросы!
Математика — наука о структурах, порядке и отношениях, исторически сложившаяся на основе операций подсчёта, измерения и описания формы объектов.