- 07.07.2018 00:42
- Математика
- remove_red_eye 15810
- thumb_up 7
Ответы и объяснения 2
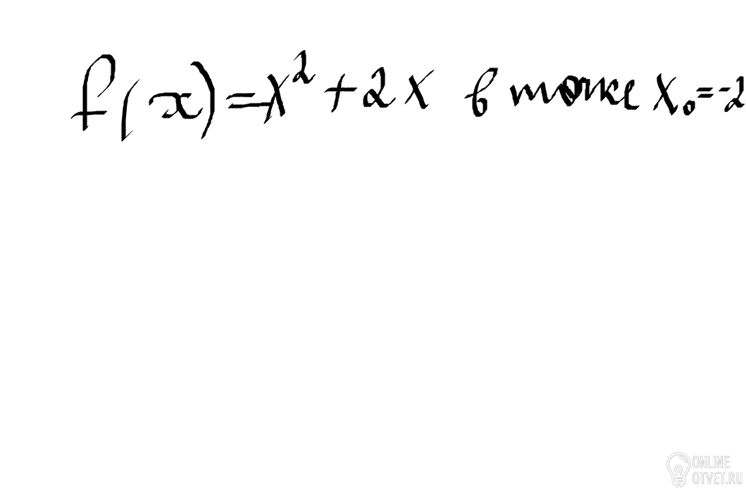
Уравнение касательной: y = f ’(x0) * (x − x0) + f(x0). Точка x0 = -2 f (x0) и
f ’(x0) надо вычислить.Для начала найдем значение функции. f (x0) = f (-2) = (-2)²+2*(-2) = 4-4 = 0;
Теперь найдем производную: f ’(x) = (x²+2x)’ = 2x+2;
Подставляем в производную x0 = -2: f ’(x0) = f ’(-2) = 2*(-2)+2 = -2;
Итого получаем: y = -2 * (x −(-2) + 0 = -2x + 2.
Это и есть уравнение касательной.
- 07.07.2018 20:54
- thumb_up 50
Знаете ответ? Поделитесь им!
Есть сомнения?
Не нашли подходящего ответа на вопрос или ответ отсутствует? Воспользуйтесь поиском по сайту, чтобы найти все ответы на похожие вопросы в разделе Математика.
Трудности с домашними заданиями? Не стесняйтесь попросить о помощи - смело задавайте вопросы!
Математика — наука о структурах, порядке и отношениях, исторически сложившаяся на основе операций подсчёта, измерения и описания формы объектов.