Вопрос по информатике:
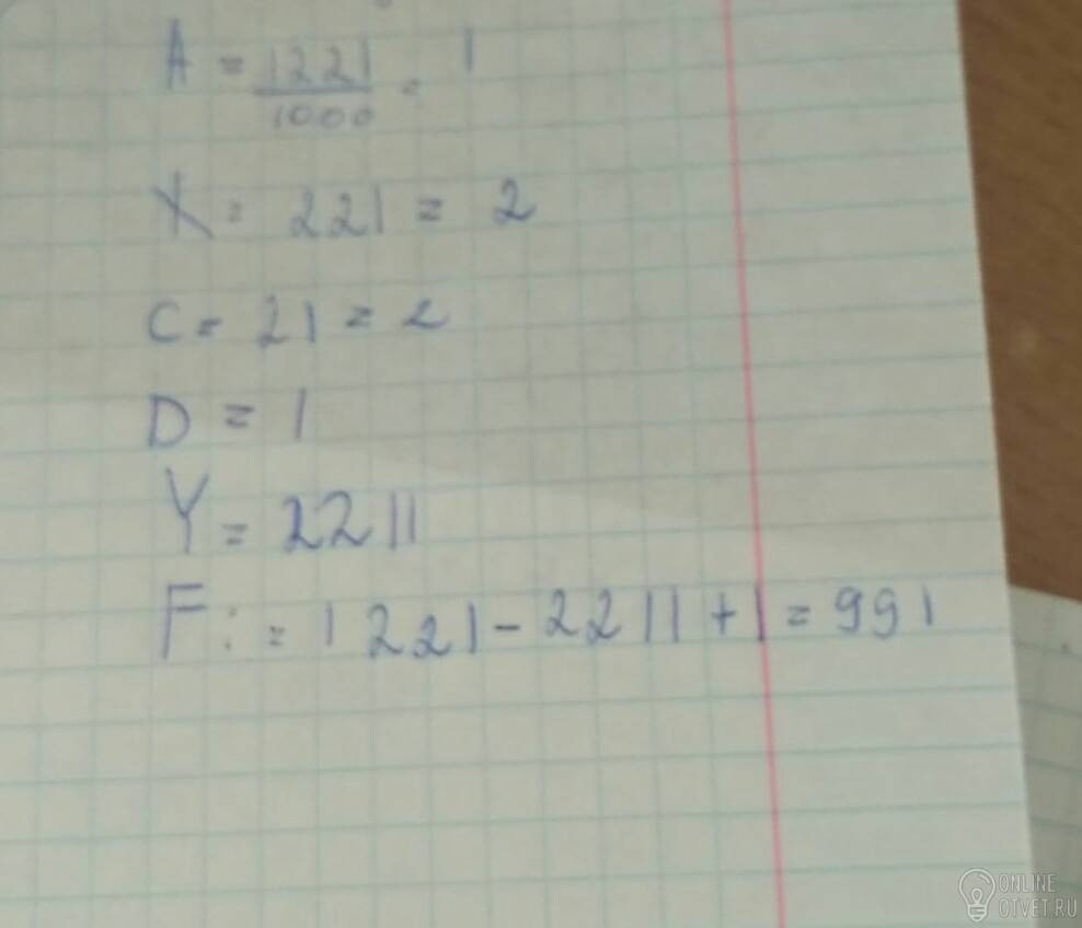
Запишите значение переменной F после выполнения фрагмента алгоритма для переменной целого типа x= 1221:
A:=X div 1000;
B:= X mod 1000 div 100;
C:= X mod 100 div 10;
D:= X mod 10;
Y:=1000*d+100*c+10*b+a;
F:= X - Y+1;
- 22.08.2018 05:45
- Информатика
- remove_red_eye 12933
- thumb_up 25
Ответы и объяснения 1
Знаете ответ? Поделитесь им!
Есть сомнения?
Не нашли подходящего ответа на вопрос или ответ отсутствует? Воспользуйтесь поиском по сайту, чтобы найти все ответы на похожие вопросы в разделе Информатика.
Трудности с домашними заданиями? Не стесняйтесь попросить о помощи - смело задавайте вопросы!
Информатика — наука о методах и процессах сбора, хранения, обработки, передачи, анализа и оценки информации с применением компьютерных технологий, обеспечивающих возможность её использования для принятия решений.