Вопрос по химии:
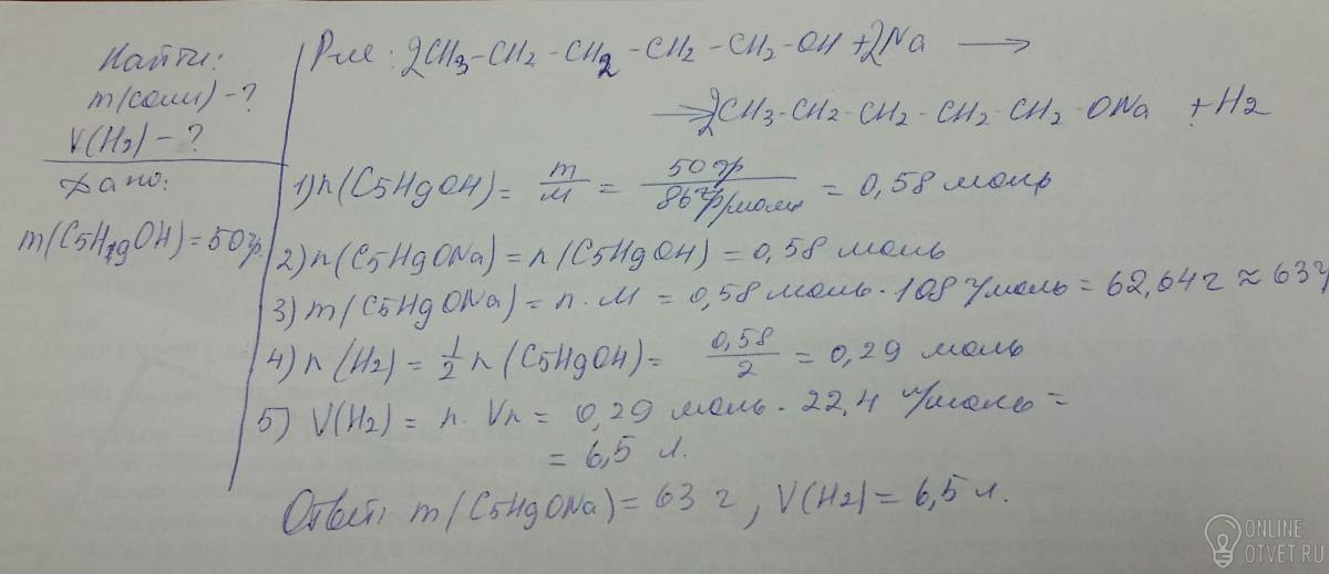
ПОМОГИТЕ РЕШИТЬ !!!!!!!!!!!!!!!!!!!!!! В реакцию с натрием вступило 50 грамм пентанола. Сколько граммов соли образовалось? Сколько литров газа выделяется?
- 01.07.2017 08:09
- Химия
- remove_red_eye 3928
- thumb_up 31
Ответы и объяснения 1
Знаете ответ? Поделитесь им!
Есть сомнения?
Не нашли подходящего ответа на вопрос или ответ отсутствует? Воспользуйтесь поиском по сайту, чтобы найти все ответы на похожие вопросы в разделе Химия.
Трудности с домашними заданиями? Не стесняйтесь попросить о помощи - смело задавайте вопросы!
Химия — одна из важнейших и обширных областей естествознания, наука о веществах, их составе и строении, их свойствах, зависящих от состава и строения, их превращениях, ведущих к изменению состава — химических реакциях, а также о законах и закономерностях, которым эти превращения подчиняются.