Вопрос по химии:
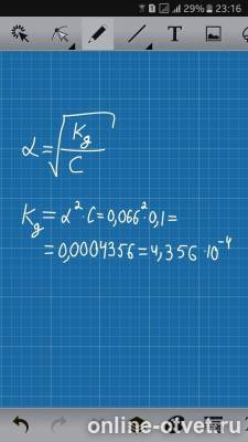
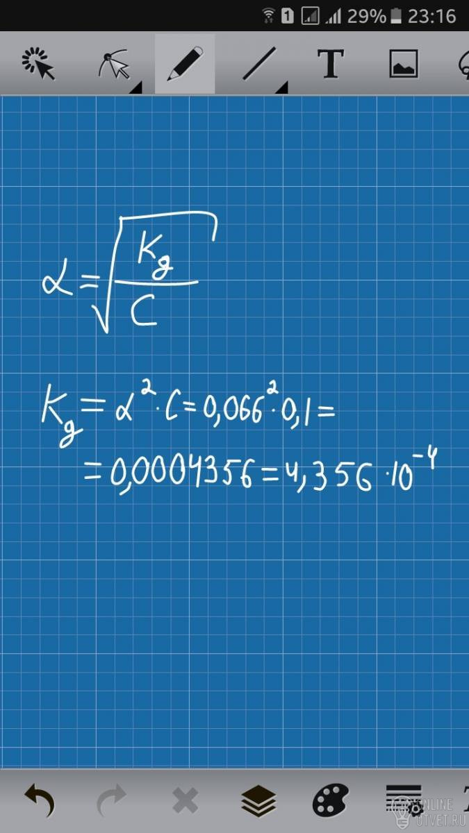
Помогите пожалуйста с химией!определить K диссоциации азотистой кислоты HNO2 если в ее растворе с концентрацией равной 0,1 моль/л альфа равно 6,6%
- 03.09.2017 14:48
- Химия
- remove_red_eye 14027
- thumb_up 20
Ответы и объяснения 1
Знаете ответ? Поделитесь им!
Есть сомнения?
Не нашли подходящего ответа на вопрос или ответ отсутствует? Воспользуйтесь поиском по сайту, чтобы найти все ответы на похожие вопросы в разделе Химия.
Трудности с домашними заданиями? Не стесняйтесь попросить о помощи - смело задавайте вопросы!
Химия — одна из важнейших и обширных областей естествознания, наука о веществах, их составе и строении, их свойствах, зависящих от состава и строения, их превращениях, ведущих к изменению состава — химических реакциях, а также о законах и закономерностях, которым эти превращения подчиняются.