Вопрос по химии:
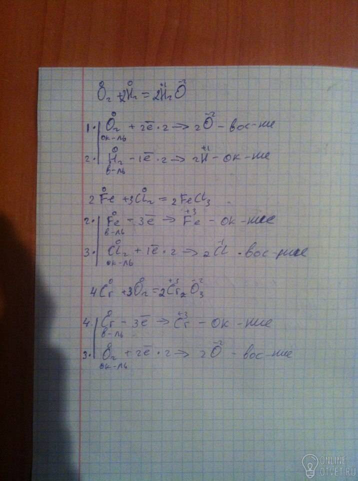
Расставьте коэффициенты методом электронного баланса:
O2 + H2 = H2O
Fe + Cl2 = FeCl3
Cr + O2 = Cr2O3
- 26.04.2017 08:47
- Химия
- remove_red_eye 1971
- thumb_up 38
Ответы и объяснения 1
Знаете ответ? Поделитесь им!
Есть сомнения?
Не нашли подходящего ответа на вопрос или ответ отсутствует? Воспользуйтесь поиском по сайту, чтобы найти все ответы на похожие вопросы в разделе Химия.
Трудности с домашними заданиями? Не стесняйтесь попросить о помощи - смело задавайте вопросы!
Химия — одна из важнейших и обширных областей естествознания, наука о веществах, их составе и строении, их свойствах, зависящих от состава и строения, их превращениях, ведущих к изменению состава — химических реакциях, а также о законах и закономерностях, которым эти превращения подчиняются.