Вопрос по химии:
Помогите решить пожалуйста не понятно совсем желательно обьяснить 3 и 6 СПАСИБО ЗАРАНЕЕ!
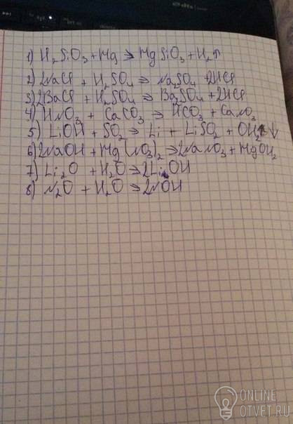
H2SiO3 +Mg
NaCl+H2SO4
BaCl+H2SO4
HNO3+CaCO3
LiOH+SO2
NaOH+Mg(NO3)2
Li2O+H2O
N2O+H2O
- 27.09.2017 14:55
- Химия
- remove_red_eye 15725
- thumb_up 40
Ответы и объяснения 1
Решение смотри ниже на фото.
№ 3
BaCl+H2SO4
Тут все просто, при взаимодействии соли и сульфатной кислоты, в результате обмена анионами, получаем новую соль и соляную кислоту. Происходит реакция обмена.
№ 6
Аналогично, происходит реакция обмена. Только реагентами выступает едкая щелочь и соль, в результате получаем новую соль и основу.
- 28.09.2017 00:27
- thumb_up 1
Знаете ответ? Поделитесь им!
Есть сомнения?
Не нашли подходящего ответа на вопрос или ответ отсутствует? Воспользуйтесь поиском по сайту, чтобы найти все ответы на похожие вопросы в разделе Химия.
Трудности с домашними заданиями? Не стесняйтесь попросить о помощи - смело задавайте вопросы!
Химия — одна из важнейших и обширных областей естествознания, наука о веществах, их составе и строении, их свойствах, зависящих от состава и строения, их превращениях, ведущих к изменению состава — химических реакциях, а также о законах и закономерностях, которым эти превращения подчиняются.