Вопрос по химии:
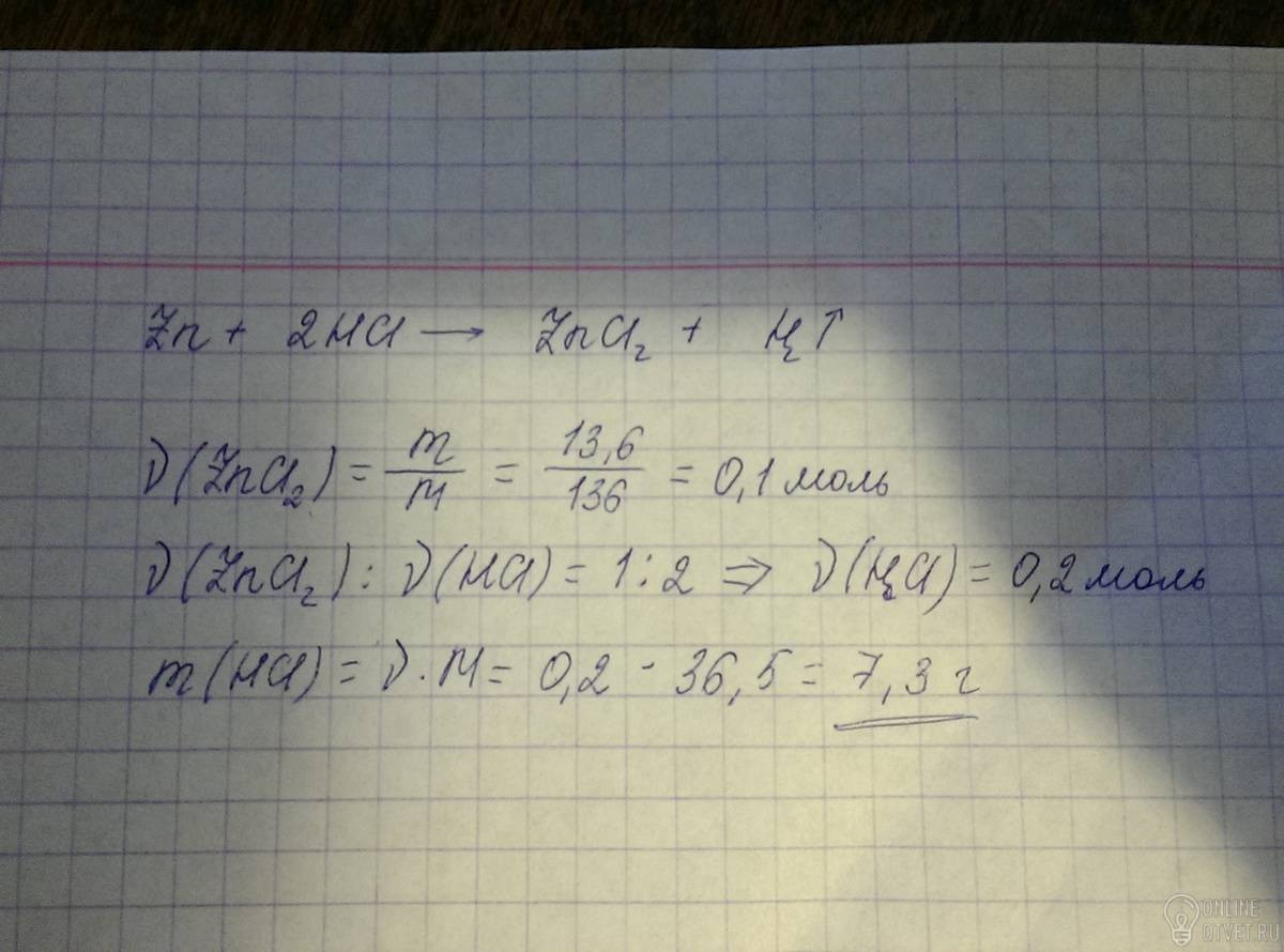
Цинк реагирует ц хлороводородом по уравнению: Zn+HCl=H2+ZnCl2.
Сколько грам HCl требует для получение 13,6г хлорида Zn?
Помогите пожалуйста!!!:(
- 22.08.2018 06:48
- Химия
- remove_red_eye 10407
- thumb_up 21
Ответы и объяснения 1
Знаете ответ? Поделитесь им!
Есть сомнения?
Не нашли подходящего ответа на вопрос или ответ отсутствует? Воспользуйтесь поиском по сайту, чтобы найти все ответы на похожие вопросы в разделе Химия.
Трудности с домашними заданиями? Не стесняйтесь попросить о помощи - смело задавайте вопросы!
Химия — одна из важнейших и обширных областей естествознания, наука о веществах, их составе и строении, их свойствах, зависящих от состава и строения, их превращениях, ведущих к изменению состава — химических реакциях, а также о законах и закономерностях, которым эти превращения подчиняются.