Вопрос по химии:
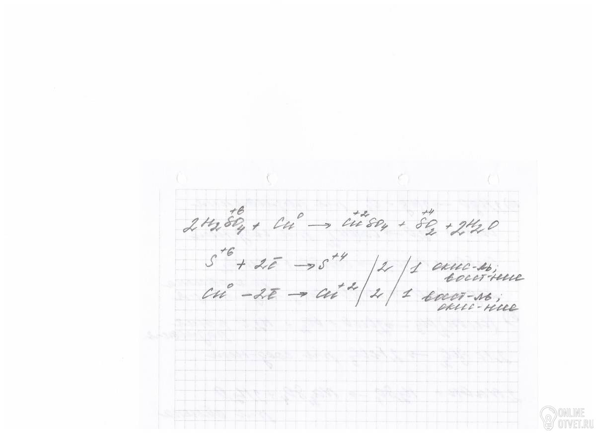
В данной окислительно-восстановительной реакции, методом электронного баланса, определите: окислитель и восстановитель, процесс окисления и востановления, уравняйте реакцию. H2SO4(конц) + Cu -> CuSO4+ SO2+H2O
Срооочноо
- 12.08.2018 15:41
- Химия
- remove_red_eye 11695
- thumb_up 38
Ответы и объяснения 1
Знаете ответ? Поделитесь им!
Есть сомнения?
Не нашли подходящего ответа на вопрос или ответ отсутствует? Воспользуйтесь поиском по сайту, чтобы найти все ответы на похожие вопросы в разделе Химия.
Трудности с домашними заданиями? Не стесняйтесь попросить о помощи - смело задавайте вопросы!
Химия — одна из важнейших и обширных областей естествознания, наука о веществах, их составе и строении, их свойствах, зависящих от состава и строения, их превращениях, ведущих к изменению состава — химических реакциях, а также о законах и закономерностях, которым эти превращения подчиняются.