Вопрос по химии:
Рассчитайте массу алюминия образовавшегося в реакции элетролиза 20,4г оксида алюминия.
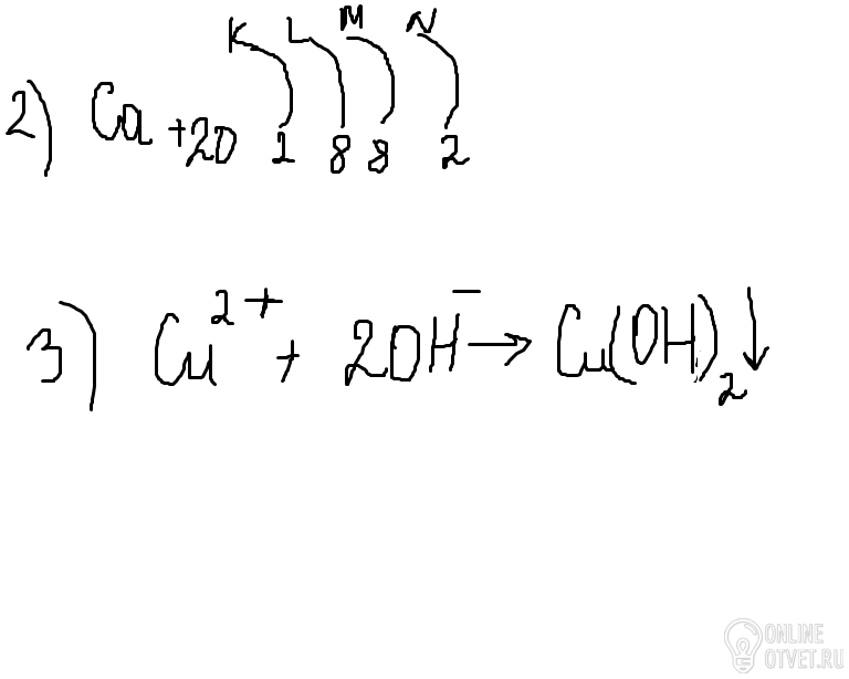
распределите электроны по энергетическим уровням в атоме кальция.
Cu(OH)2 -CuO - CuCI2 - Cu(OH)2
3 РЕАКЦИЮ ЗАПИСАТЬ В СОКРАЩЕННИМ ИОННОМ ВИДЕ
- 17.12.2017 09:00
- Химия
- remove_red_eye 12178
- thumb_up 28
Ответы и объяснения 1
Знаете ответ? Поделитесь им!
Есть сомнения?
Не нашли подходящего ответа на вопрос или ответ отсутствует? Воспользуйтесь поиском по сайту, чтобы найти все ответы на похожие вопросы в разделе Химия.
Трудности с домашними заданиями? Не стесняйтесь попросить о помощи - смело задавайте вопросы!
Химия — одна из важнейших и обширных областей естествознания, наука о веществах, их составе и строении, их свойствах, зависящих от состава и строения, их превращениях, ведущих к изменению состава — химических реакциях, а также о законах и закономерностях, которым эти превращения подчиняются.