Вопрос по геометрии:
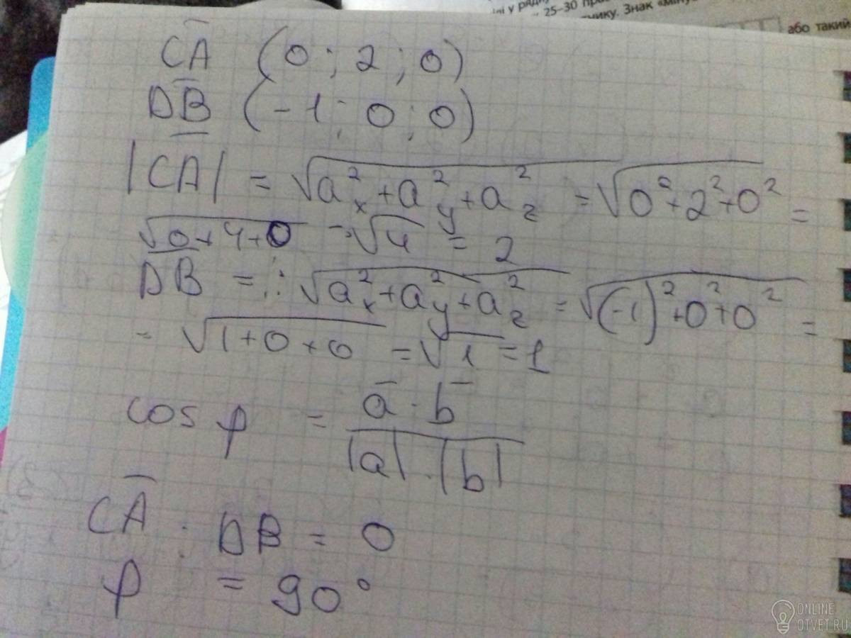
Найдите угол между векторами СА і DB, если А(2;-1; √2), B(1;-2;0),
C(2;-3;√2), D(2;-2;0).
- 21.07.2017 21:33
- Геометрия
- remove_red_eye 16901
- thumb_up 19
Ответы и объяснения 1
Знаете ответ? Поделитесь им!
Есть сомнения?
Не нашли подходящего ответа на вопрос или ответ отсутствует? Воспользуйтесь поиском по сайту, чтобы найти все ответы на похожие вопросы в разделе Геометрия.
Трудности с домашними заданиями? Не стесняйтесь попросить о помощи - смело задавайте вопросы!
Геометрия — раздел математики, изучающий пространственные структуры и отношения, а также их обобщения.