Вопрос по геометрии:
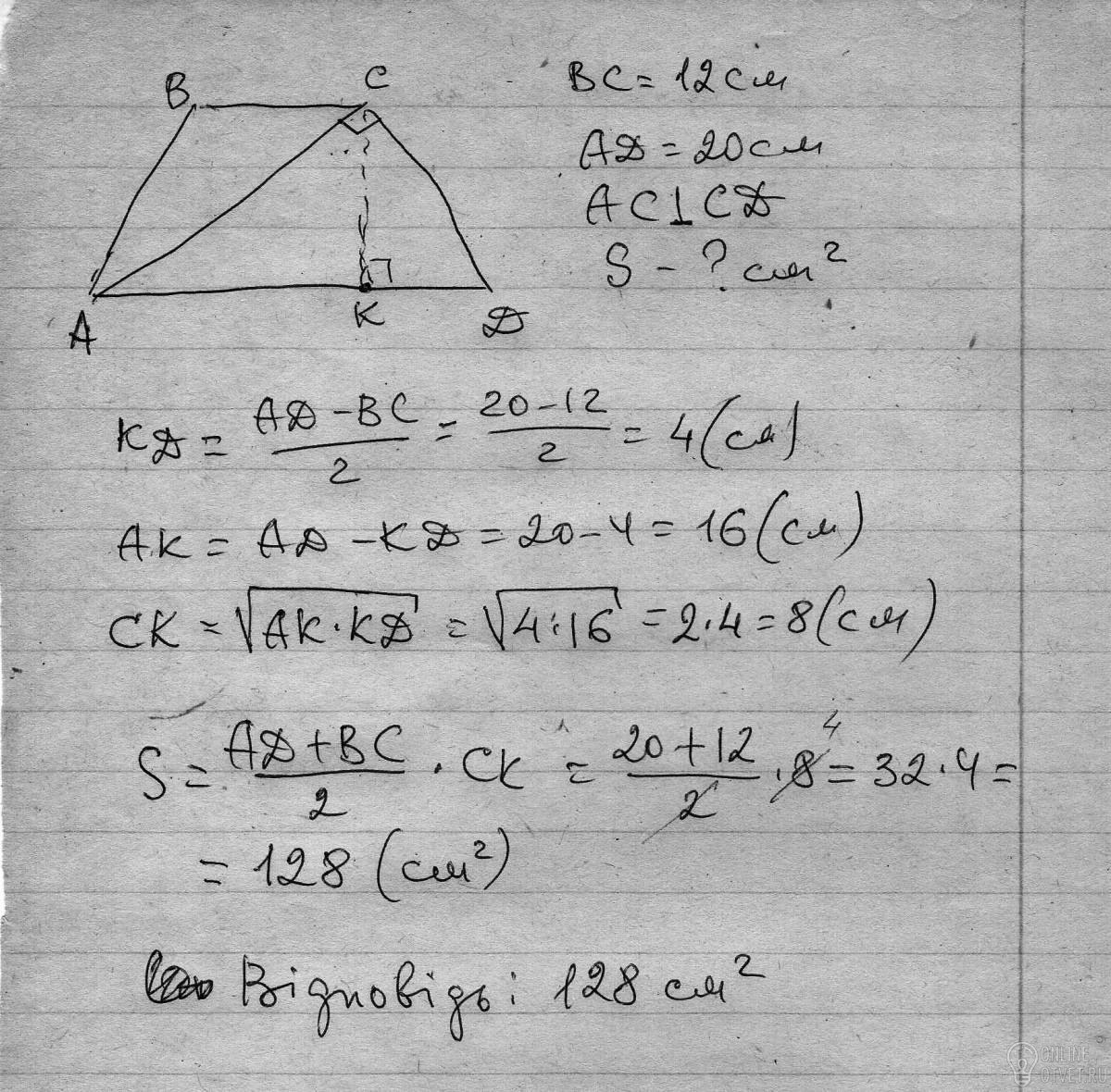
Діагональ рівнобічної трапеції перпендикулярна до її бічної сторони.Знайти площу трапеції,якщо її основи дорівнюють 12 см і 20 см.
- 21.01.2017 14:05
- Геометрия
- remove_red_eye 2892
- thumb_up 43
Ответы и объяснения 1
Знаете ответ? Поделитесь им!
Есть сомнения?
Не нашли подходящего ответа на вопрос или ответ отсутствует? Воспользуйтесь поиском по сайту, чтобы найти все ответы на похожие вопросы в разделе Геометрия.
Трудности с домашними заданиями? Не стесняйтесь попросить о помощи - смело задавайте вопросы!
Геометрия — раздел математики, изучающий пространственные структуры и отношения, а также их обобщения.