Пожаловаться
- 20.06.2017 21:59
- Геометрия
- remove_red_eye 11892
- thumb_up 25
Ответы и объяснения 1
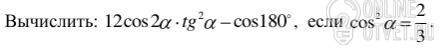
Tg²a=1/cos²a-1
tg²a=3/2-1=1/2
cos2a=2cos²-1
cos2a=2*4/9-1=8/9-1=-1/9
12cos2a*tg²a=12*1/2*(-1/9)=-2/3
tg²a=3/2-1=1/2
cos2a=2cos²-1
cos2a=2*4/9-1=8/9-1=-1/9
12cos2a*tg²a=12*1/2*(-1/9)=-2/3
Пожаловаться
- 21.06.2017 04:12
- thumb_up 25
Знаете ответ? Поделитесь им!
Есть сомнения?
Не нашли подходящего ответа на вопрос или ответ отсутствует? Воспользуйтесь поиском по сайту, чтобы найти все ответы на похожие вопросы в разделе Геометрия.
Трудности с домашними заданиями? Не стесняйтесь попросить о помощи - смело задавайте вопросы!
Геометрия — раздел математики, изучающий пространственные структуры и отношения, а также их обобщения.
Новые вопросы
Интересные вопросы