Вопрос по геометрии:
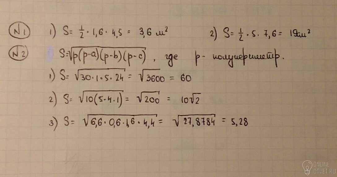
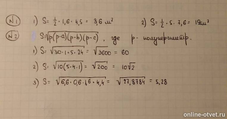
Вычислите площадь прямоугольного треугольника если его катеты :1)а=1,6 м в=4,5 м 3)а= 5см в= 7,6 см. 2)вычислите площадь треугольника зная что его стороны равны :1)29, 25, 6, 2)5,6.9, 3)6, 5, 2,2
- 20.06.2017 19:33
- Геометрия
- remove_red_eye 10170
- thumb_up 37
Ответы и объяснения 1
Знаете ответ? Поделитесь им!
Есть сомнения?
Не нашли подходящего ответа на вопрос или ответ отсутствует? Воспользуйтесь поиском по сайту, чтобы найти все ответы на похожие вопросы в разделе Геометрия.
Трудности с домашними заданиями? Не стесняйтесь попросить о помощи - смело задавайте вопросы!
Геометрия — раздел математики, изучающий пространственные структуры и отношения, а также их обобщения.