Вопрос по геометрии:
Решите,пожалуйста.Очень нужно.
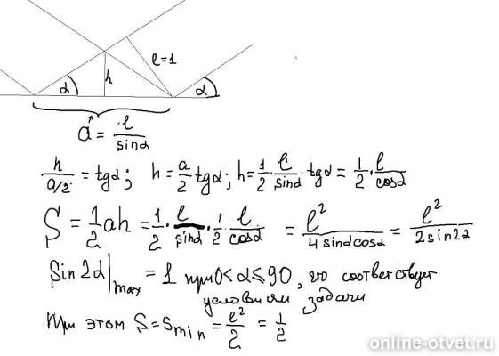
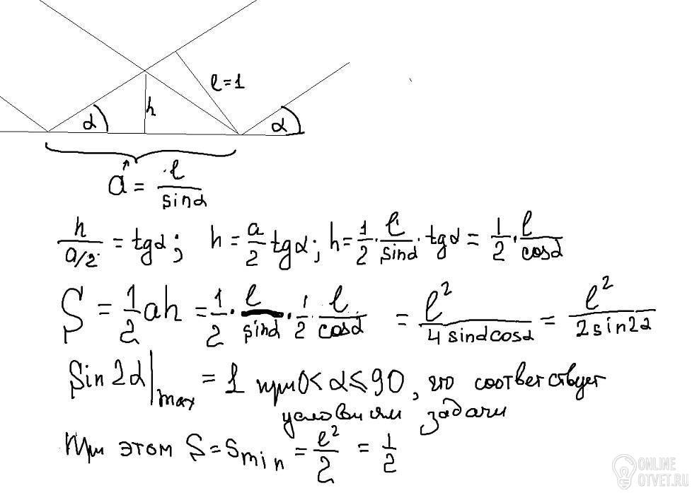
Длинную бумажную ленту шириной 1 перегнули под некоторым углом к его краю. В результате перекрывающиеся части образовали "двуслойный" треугольник. Найти наименьшую возможную площадь такого треугольника .30 баллов.
- 23.08.2016 14:23
- Геометрия
- remove_red_eye 18526
- thumb_up 19
Ответы и объяснения 1
Знаете ответ? Поделитесь им!
Есть сомнения?
Не нашли подходящего ответа на вопрос или ответ отсутствует? Воспользуйтесь поиском по сайту, чтобы найти все ответы на похожие вопросы в разделе Геометрия.
Трудности с домашними заданиями? Не стесняйтесь попросить о помощи - смело задавайте вопросы!
Геометрия — раздел математики, изучающий пространственные структуры и отношения, а также их обобщения.