Пожаловаться
- 08.04.2017 05:16
- Геометрия
- remove_red_eye 9615
- thumb_up 37
Ответы и объяснения 1
1) углы 1 и 2 равны как соответсвенные углы при параллельных прямых. По скольку по условию они составляют в сумме 180 градусов, ∠1=∠2=180/2=90 градусов
угол 1 и 3 - смежные и в сумме дают 180 градусов согласно свойствам смежных углов
∠3 = 180-90=180 градусов
2) пусть ∠1=2х, а ∠2=7х, тогда 2х+7х=180 градусов
9х=180
х=20 градусов
∠2 = 7*20 = 140 градусов
∠2=∠3 как вертикальные углы
∠3=140 градусов
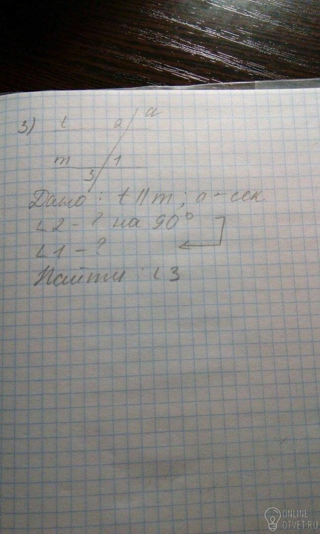
3) пусть ∠1 = х, тогда ∠2=х+90 градусов
∠1 + ∠2 = 180 градусов
х+х+90 = 180
2х=90
х=45 градусов
∠1=45 градусов
∠1=∠3 как вертикальные углы
∠3=45 градусов
угол 1 и 3 - смежные и в сумме дают 180 градусов согласно свойствам смежных углов
∠3 = 180-90=180 градусов
2) пусть ∠1=2х, а ∠2=7х, тогда 2х+7х=180 градусов
9х=180
х=20 градусов
∠2 = 7*20 = 140 градусов
∠2=∠3 как вертикальные углы
∠3=140 градусов
3) пусть ∠1 = х, тогда ∠2=х+90 градусов
∠1 + ∠2 = 180 градусов
х+х+90 = 180
2х=90
х=45 градусов
∠1=45 градусов
∠1=∠3 как вертикальные углы
∠3=45 градусов
Пожаловаться
- 09.04.2017 03:09
- thumb_up 1
Знаете ответ? Поделитесь им!
Есть сомнения?
Не нашли подходящего ответа на вопрос или ответ отсутствует? Воспользуйтесь поиском по сайту, чтобы найти все ответы на похожие вопросы в разделе Геометрия.
Трудности с домашними заданиями? Не стесняйтесь попросить о помощи - смело задавайте вопросы!
Геометрия — раздел математики, изучающий пространственные структуры и отношения, а также их обобщения.
Новые вопросы
Интересные вопросы