Вопрос по геометрии:
1) Прямая АВ и СД пересикаются в точке О докажите что треугольник АОС и ВОД равны.
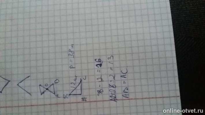
2) Основание равнобедренного треугольника если периметр равен 38 см а боковая сторона 12 см .
- 06.11.2016 12:08
- Геометрия
- remove_red_eye 11538
- thumb_up 22
Ответы и объяснения 1
Знаете ответ? Поделитесь им!
Есть сомнения?
Не нашли подходящего ответа на вопрос или ответ отсутствует? Воспользуйтесь поиском по сайту, чтобы найти все ответы на похожие вопросы в разделе Геометрия.
Трудности с домашними заданиями? Не стесняйтесь попросить о помощи - смело задавайте вопросы!
Геометрия — раздел математики, изучающий пространственные структуры и отношения, а также их обобщения.