Вопрос по геометрии:
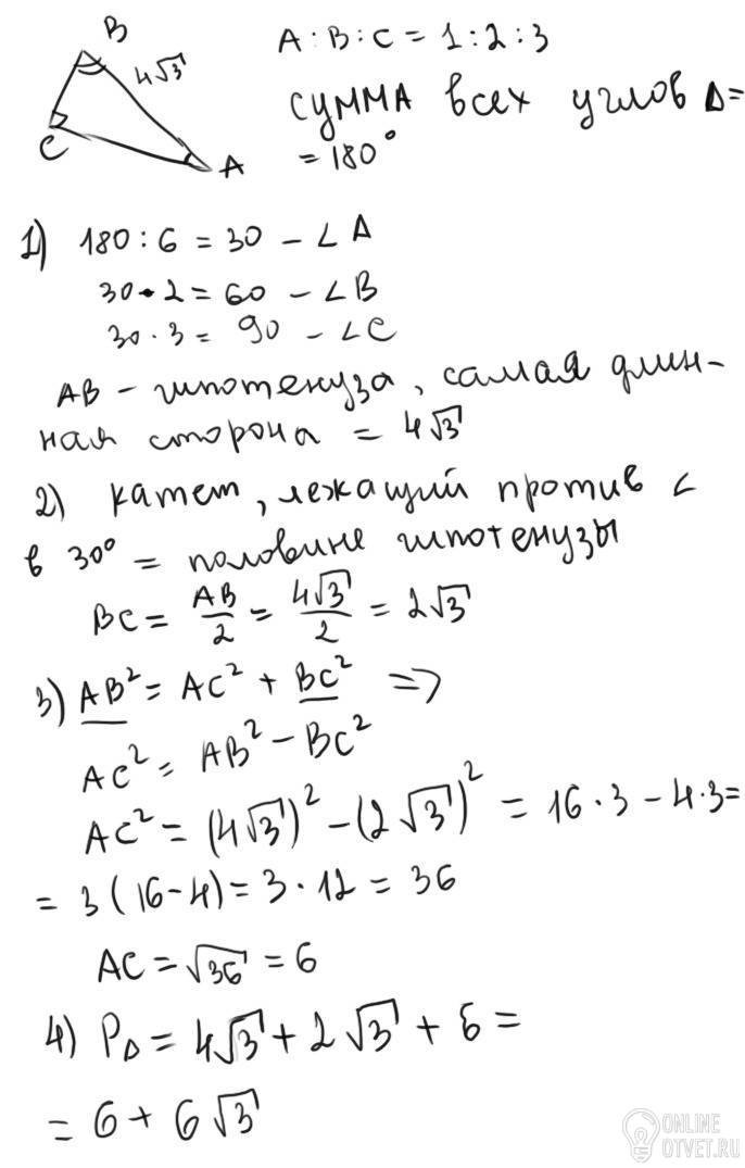
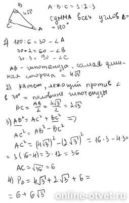
Покажите как Решить,найти периметр треугольника ,если его углы относятся как 1:2:3.Длина большей стороны 4корень из 3 (8бал)
- 04.04.2018 19:23
- Геометрия
- remove_red_eye 5184
- thumb_up 37
Ответы и объяснения 1
Знаете ответ? Поделитесь им!
Есть сомнения?
Не нашли подходящего ответа на вопрос или ответ отсутствует? Воспользуйтесь поиском по сайту, чтобы найти все ответы на похожие вопросы в разделе Геометрия.
Трудности с домашними заданиями? Не стесняйтесь попросить о помощи - смело задавайте вопросы!
Геометрия — раздел математики, изучающий пространственные структуры и отношения, а также их обобщения.