Вопрос по геометрии:
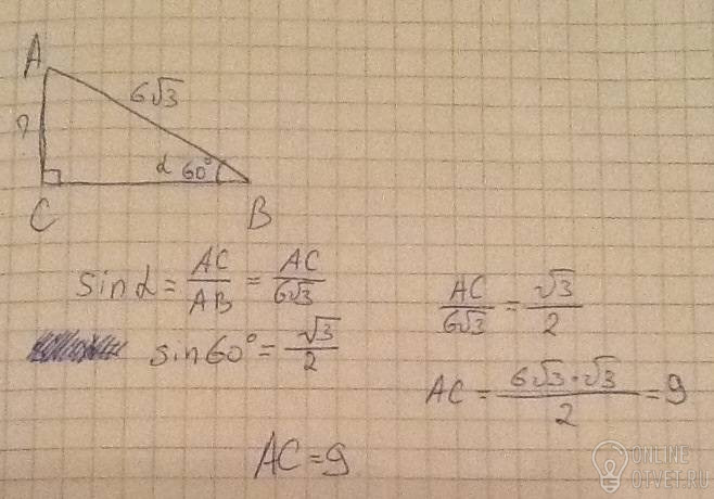
Гипотенуза прямоугольного треугольника (АВС 90°) 6√3 см а острый угол равен 60° найдите катет противолежащему углу
- 24.07.2017 05:47
- Геометрия
- remove_red_eye 1642
- thumb_up 26
Ответы и объяснения 1
Знаете ответ? Поделитесь им!
Есть сомнения?
Не нашли подходящего ответа на вопрос или ответ отсутствует? Воспользуйтесь поиском по сайту, чтобы найти все ответы на похожие вопросы в разделе Геометрия.
Трудности с домашними заданиями? Не стесняйтесь попросить о помощи - смело задавайте вопросы!
Геометрия — раздел математики, изучающий пространственные структуры и отношения, а также их обобщения.