Вопрос по геометрии:
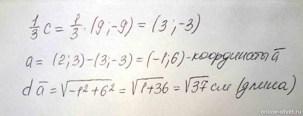
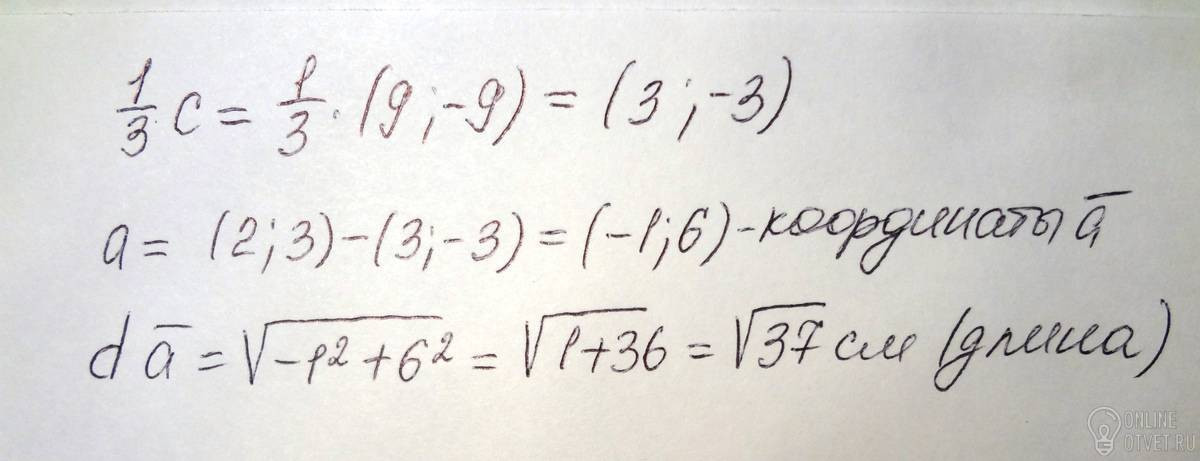
Найдите координаты и длину вектора a если a=b-1/3c , b={2; 3} c={9;-9}
Пожаловаться
- 19.11.2016 12:37
- Геометрия
- remove_red_eye 17115
- thumb_up 48
Ответы и объяснения 1
Знаете ответ? Поделитесь им!
Есть сомнения?
Не нашли подходящего ответа на вопрос или ответ отсутствует? Воспользуйтесь поиском по сайту, чтобы найти все ответы на похожие вопросы в разделе Геометрия.
Трудности с домашними заданиями? Не стесняйтесь попросить о помощи - смело задавайте вопросы!
Геометрия — раздел математики, изучающий пространственные структуры и отношения, а также их обобщения.
Новые вопросы
Интересные вопросы