Вопрос по геометрии:
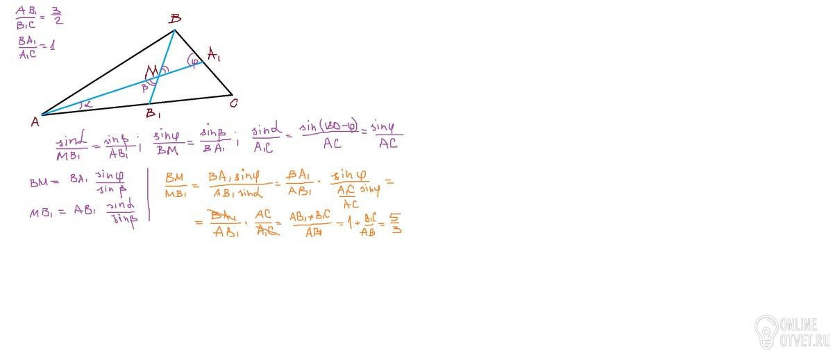
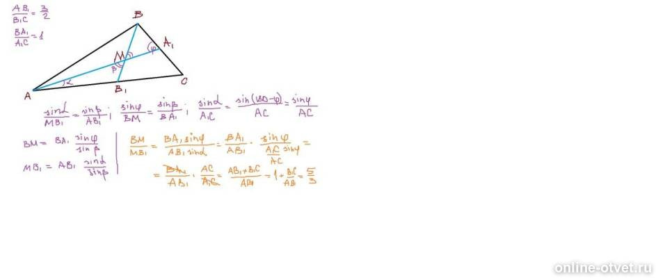
В треугольнике АВС точка В1 делит сторону АС в отношении 3:2, считая от точки А, отрезокВВ1 пересекает медиану АА1 в точке М. Найдите отношение ВМ:МВ1
- 10.07.2017 15:40
- Геометрия
- remove_red_eye 14347
- thumb_up 44
Ответы и объяснения 1
Знаете ответ? Поделитесь им!
Есть сомнения?
Не нашли подходящего ответа на вопрос или ответ отсутствует? Воспользуйтесь поиском по сайту, чтобы найти все ответы на похожие вопросы в разделе Геометрия.
Трудности с домашними заданиями? Не стесняйтесь попросить о помощи - смело задавайте вопросы!
Геометрия — раздел математики, изучающий пространственные структуры и отношения, а также их обобщения.