Вопрос по геометрии:
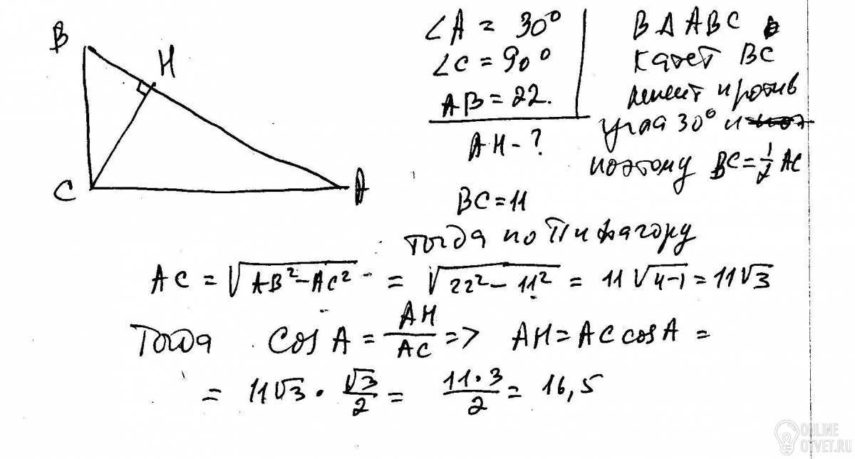
В треугольнике АВС угол С равен 90 градусов ;СН высота , угол А равен 30 градусам,АВ=22.Найти АН.
- 14.09.2018 09:23
- Геометрия
- remove_red_eye 8457
- thumb_up 44
Ответы и объяснения 1
Знаете ответ? Поделитесь им!
Есть сомнения?
Не нашли подходящего ответа на вопрос или ответ отсутствует? Воспользуйтесь поиском по сайту, чтобы найти все ответы на похожие вопросы в разделе Геометрия.
Трудности с домашними заданиями? Не стесняйтесь попросить о помощи - смело задавайте вопросы!
Геометрия — раздел математики, изучающий пространственные структуры и отношения, а также их обобщения.