Вопрос по геометрии:
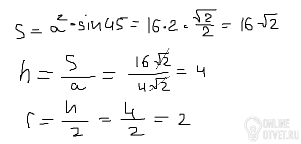
Сторона ромба равна 4√2 , а острый угол равен 45 градусов. Найдите радиус вписанной окружности
- 05.11.2016 11:48
- Геометрия
- remove_red_eye 14888
- thumb_up 13
Ответы и объяснения 1
Знаете ответ? Поделитесь им!
Есть сомнения?
Не нашли подходящего ответа на вопрос или ответ отсутствует? Воспользуйтесь поиском по сайту, чтобы найти все ответы на похожие вопросы в разделе Геометрия.
Трудности с домашними заданиями? Не стесняйтесь попросить о помощи - смело задавайте вопросы!
Геометрия — раздел математики, изучающий пространственные структуры и отношения, а также их обобщения.