Вопрос по геометрии:
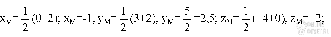
Точка M середина отрезка BC, а точка K-середина отрезка BM. Найти координаты точки C, если:
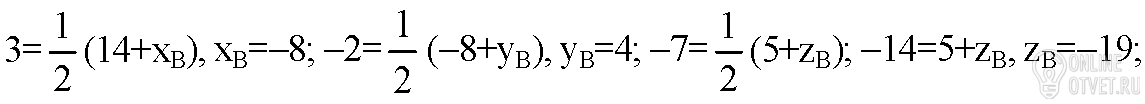
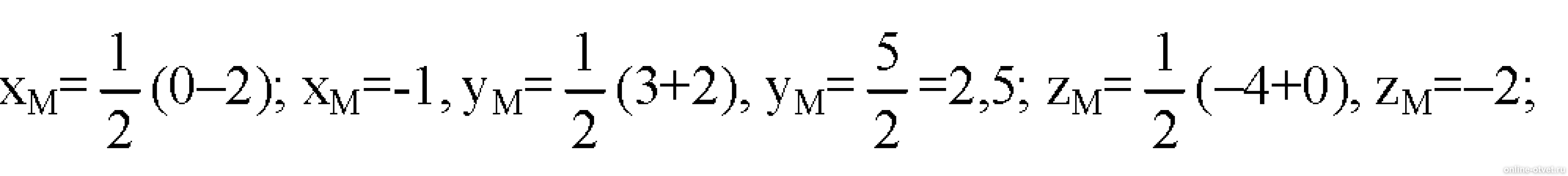
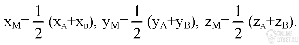
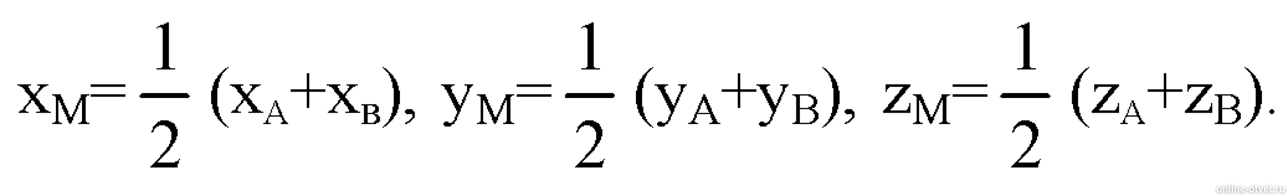
1)B (-2;4) M(3;-1)
- 21.08.2018 08:48
- Геометрия
- remove_red_eye 9914
- thumb_up 14
Ответы и объяснения 1
Знаете ответ? Поделитесь им!
Есть сомнения?
Не нашли подходящего ответа на вопрос или ответ отсутствует? Воспользуйтесь поиском по сайту, чтобы найти все ответы на похожие вопросы в разделе Геометрия.
Трудности с домашними заданиями? Не стесняйтесь попросить о помощи - смело задавайте вопросы!
Геометрия — раздел математики, изучающий пространственные структуры и отношения, а также их обобщения.