Вопрос по геометрии:
СРОЧНО!!!!!!!!
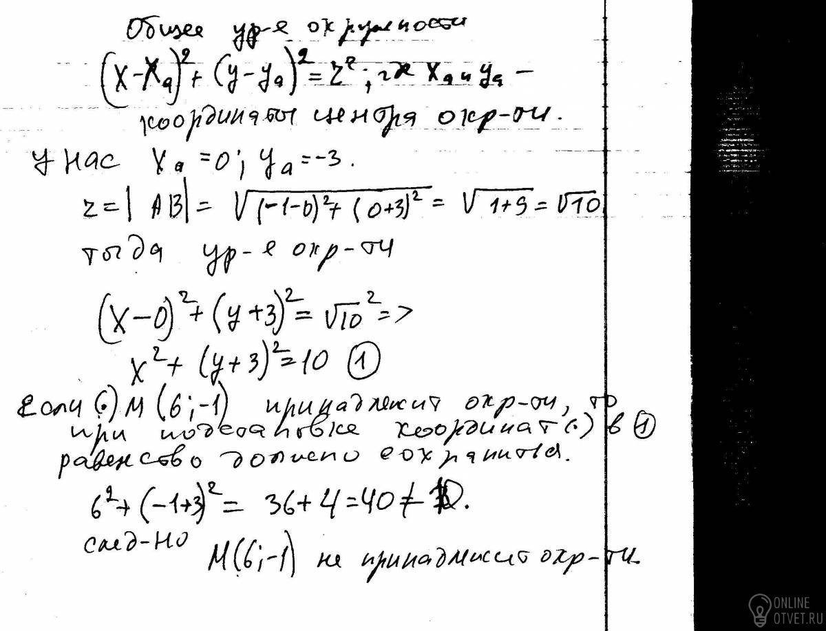
Даны точки А(0;-3),B(-1;0). Запишите уравнение окружности с центром в точке A и радиусом AB. Принадлежит ли этой окружности точка M(6;-1)?
- 17.12.2016 06:02
- Геометрия
- remove_red_eye 18380
- thumb_up 39
Ответы и объяснения 1
Знаете ответ? Поделитесь им!
Есть сомнения?
Не нашли подходящего ответа на вопрос или ответ отсутствует? Воспользуйтесь поиском по сайту, чтобы найти все ответы на похожие вопросы в разделе Геометрия.
Трудности с домашними заданиями? Не стесняйтесь попросить о помощи - смело задавайте вопросы!
Геометрия — раздел математики, изучающий пространственные структуры и отношения, а также их обобщения.