Вопрос по геометрии:
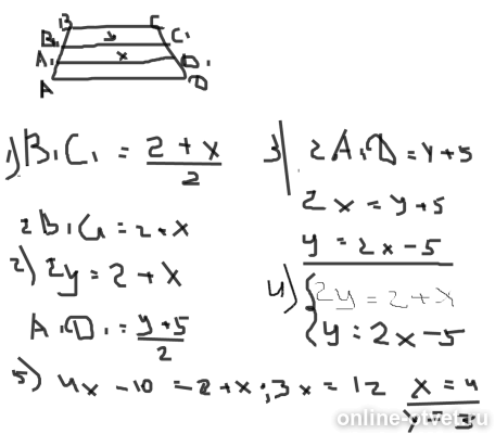
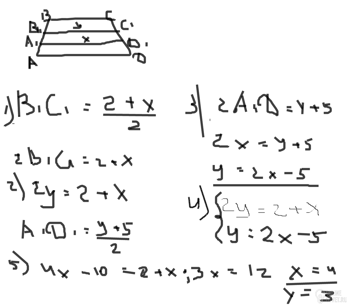
Боковая сторона трапеции разделена на три равные части, и из точек деления проведены к другой стороне отрезки , параллельные основаниям . Найдите длины этих отрезков , если основания трапеции равны 2 м и 5 м.
- 19.08.2017 06:55
- Геометрия
- remove_red_eye 19301
- thumb_up 40
Ответы и объяснения 1
Знаете ответ? Поделитесь им!
Есть сомнения?
Не нашли подходящего ответа на вопрос или ответ отсутствует? Воспользуйтесь поиском по сайту, чтобы найти все ответы на похожие вопросы в разделе Геометрия.
Трудности с домашними заданиями? Не стесняйтесь попросить о помощи - смело задавайте вопросы!
Геометрия — раздел математики, изучающий пространственные структуры и отношения, а также их обобщения.