Вопрос по геометрии:
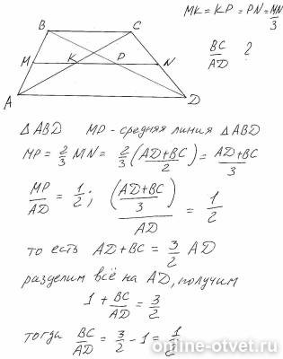
Знайдіть відношення основ трапеції, якщо її діагоналі поділяють середню лінію трапеції на 3 рівні частини.
- 05.08.2018 11:36
- Геометрия
- remove_red_eye 14888
- thumb_up 78
Ответы и объяснения 1
Знаете ответ? Поделитесь им!
Есть сомнения?
Не нашли подходящего ответа на вопрос или ответ отсутствует? Воспользуйтесь поиском по сайту, чтобы найти все ответы на похожие вопросы в разделе Геометрия.
Трудности с домашними заданиями? Не стесняйтесь попросить о помощи - смело задавайте вопросы!
Геометрия — раздел математики, изучающий пространственные структуры и отношения, а также их обобщения.