Вопрос по физике:
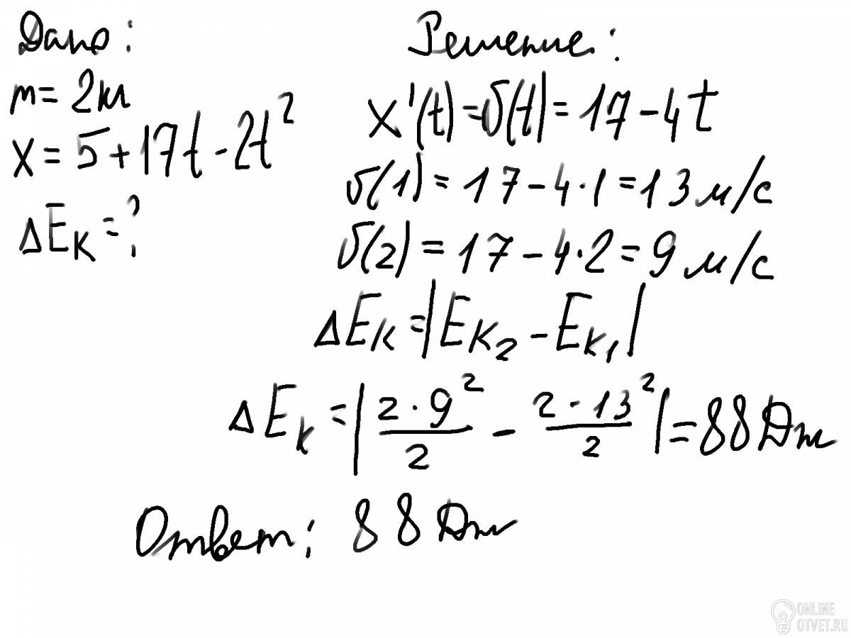
Координата тела массой 2 кг движущегося вдоль оси Ох изменяется по закону x=5+17t-2t². Определить ищменение кинитической энергии тела с первой по второй секунды. Помогите решить пожалуйста
- 14.03.2018 12:19
- Физика
- remove_red_eye 16539
- thumb_up 36
Ответы и объяснения 1
Знаете ответ? Поделитесь им!
Есть сомнения?
Не нашли подходящего ответа на вопрос или ответ отсутствует? Воспользуйтесь поиском по сайту, чтобы найти все ответы на похожие вопросы в разделе Физика.
Трудности с домашними заданиями? Не стесняйтесь попросить о помощи - смело задавайте вопросы!
Физика — область естествознания: естественная наука о простейших и вместе с тем наиболее общих законах природы, о материи, её структуре и движении.