Вопрос по физике:
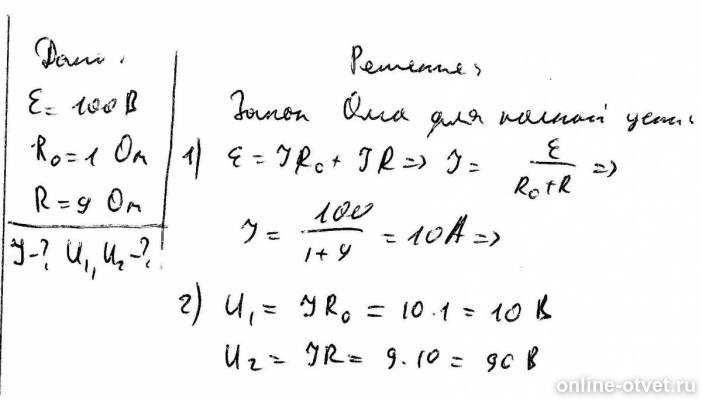
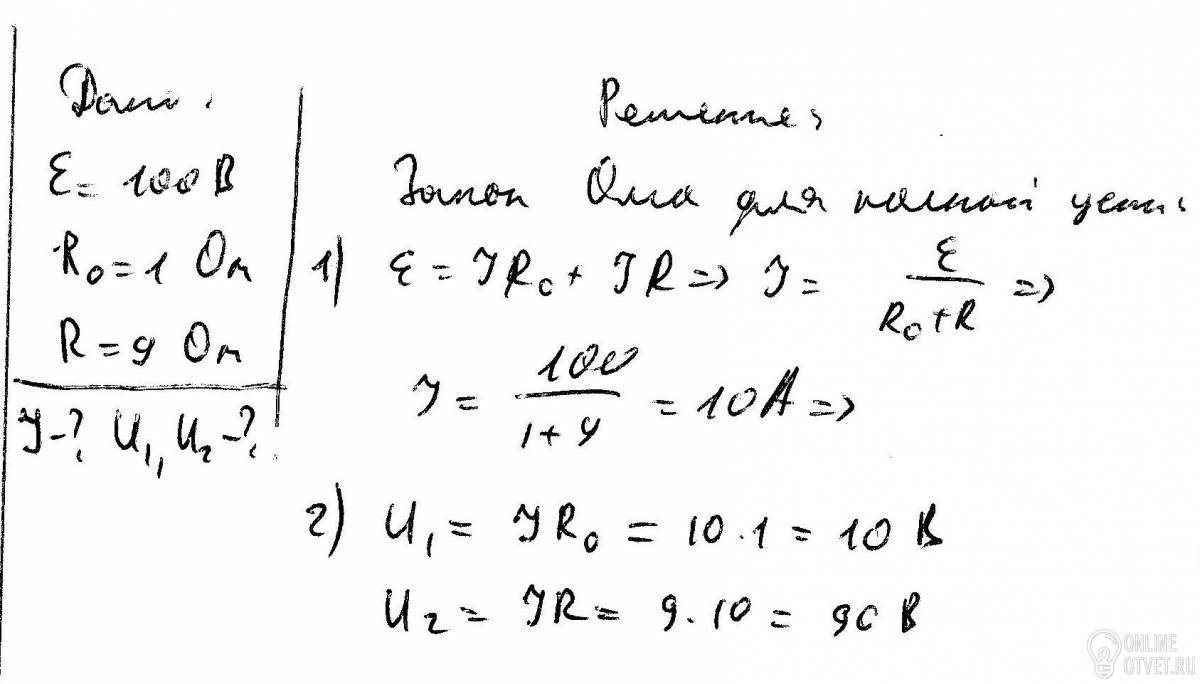
К источнику электроэнергии сE=100 B и внутренним сопротивление Ro=1 Ом подключён приёмник электричекой энергии с сопротивление R=9 ом. определить :1)ток в цепи 2)внутренне падение напряжения и внешние на зажимах источника энергия
- 12.06.2018 00:27
- Физика
- remove_red_eye 8987
- thumb_up 15
Ответы и объяснения 1
Знаете ответ? Поделитесь им!
Есть сомнения?
Не нашли подходящего ответа на вопрос или ответ отсутствует? Воспользуйтесь поиском по сайту, чтобы найти все ответы на похожие вопросы в разделе Физика.
Трудности с домашними заданиями? Не стесняйтесь попросить о помощи - смело задавайте вопросы!
Физика — область естествознания: естественная наука о простейших и вместе с тем наиболее общих законах природы, о материи, её структуре и движении.