Вопрос по физике:
Очень срочно помогите решить задачу
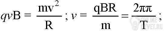
Электрон движется в однородном магнитном поле с индукцией В=4 мТл со скоростью V=10^6 м/с, перпендикулярной линиям индукции магнитного поля. Определите модуль перемещения электрона за промежуток времени t=4,47*10^-9 с
- 17.12.2017 05:00
- Физика
- remove_red_eye 15056
- thumb_up 27
Ответы и объяснения 1
Знаете ответ? Поделитесь им!
Есть сомнения?
Не нашли подходящего ответа на вопрос или ответ отсутствует? Воспользуйтесь поиском по сайту, чтобы найти все ответы на похожие вопросы в разделе Физика.
Трудности с домашними заданиями? Не стесняйтесь попросить о помощи - смело задавайте вопросы!
Физика — область естествознания: естественная наука о простейших и вместе с тем наиболее общих законах природы, о материи, её структуре и движении.